饱和(he)蒸(zheng)气(qi)压低(di)、高熔(rong)点(dian)、稳定(ding)的(de)化(hua)学性(xing)质、冷(leng)加(jia)工(gong)变形能力强等(deng)都(dou)是金属铌(ni)具备(bei)的优秀(xiu)性能(neng),同(tong)时,纯
铌(ni)、铌(ni)钛合金(jin)、铌锡(xi)合金(jin)等具有良(liang)好的超(chao)导性能(neng),而高(gao)纯(chun)铌(ni)正(zheng)被用于超(chao)导(dao)加速(su)器(qi),以及(ji)超(chao)导谐(xie)振腔体等(deng)[1]
。
溅(jian)射(she)是(shi)制备(bei)薄(bao)膜(mo)材料(liao)的(de)主(zhu)要技术(shu)之(zhi)一:带(dai)电粒子(zi)轰(hong)击(ji)固(gu)体材(cai)料(liao)表面(mian)时(shi),发生(sheng)表(biao)面原(yuan)子(zi)碰(peng)撞(zhuang)并(bing)产(chan)生能(neng)量和
动(dong)量(liang)的转(zhuan)移(yi),使(shi)被轰击材(cai)料原子从(cong)表面逸出并淀积(ji)在衬(chen)底(di)上(shang),被(bei)轰击(ji)的固体(ti)是溅(jian)射法制(zhi)备(bei)沉(chen)积薄膜(mo)的原材(cai)料(liao)
,一(yi)般(ban)被(bei)称为(wei)溅射靶材(cai)。平面铌靶(ba)材(cai)主(zhu)要(yao)用于(yu)镀膜(mo)行(xing)业(ye),通过(guo)高能(neng)粒(li)子撞击具(ju)有高纯(chun)度(du)的靶(ba)材平面,按物理
过(guo)程撞(zhuang)击(ji)出(chu)原子(zi),同时向(xiang)溅(jian)射腔室通入气体(ti),与溅(jian)射撞击(ji)出的靶材原(yuan)子(zi)反(fan)应(ying),形成镀膜材(cai)料,并(bing)最终(zhong)沉积在(zai)
衬底(di)材(cai)料(liao)上,形成(cheng)具(ju)有一(yi)定特(te)性的(de)薄(bao)膜。溅(jian)射(she)靶(ba)材(cai)要求均匀的组分(fen),合(he)格(ge)的(de)颗粒尺寸(cun)和(he)具体(ti)的(de)结晶学取向(xiang),
对(dui)溅(jian)射靶(ba)材(cai)的(de)高要求(qiu)均是为(wei)了(le)在整个衬底上(shang)获得均匀的薄(bao)膜(mo)沉(chen)积(ji)速(su)率(lv)。
近(jin)年来(lai),随(sui)着镀(du)膜行(xing)业(ye)的(de)快速发展(zhan),中国已经逐(zhu)渐成(cheng)为(wei)世界(jie)上(shang)靶(ba)材最大的需求及(ji)使(shi)用(yong)地(di)之一(yi)[2]。19 世(shi)
纪40 年(nian)代(dai),Grove 在实验(yan)室(shi)发现(xian)阴(yin)极(ji)溅射现(xian)象,溅(jian)射(she)技(ji)术(shu)就一直(zhi)处(chu)于(yu)不(bu)断(duan)地改(gai)进(jin)之(zhi)中,但(dan)由(you)于当(dang)时实验条
件限(xian)制(zhi),对(dui)溅射(she)机(ji)理(li)的(de)认(ren)识(shi)长期(qi)处(chu)于模(mo)糊(hu)状态(tai),所(suo)以技术发展极(ji)为缓慢(man)[3]。直到 1970 年前后,才(cai)出(chu)现适(shi)
用于(yu)工业(ye)应(ying)用的(de)磁(ci)控(kong)溅射技(ji)术(shu)[4]。而(er) Chapin 在 1974 年(nian)发(fa)明(ming)了适用(yong)于(yu)工(gong)业应用(yong)的平面(mian)磁控(kong)溅射靶后,溅
射技(ji)术(shu)才(cai)从(cong)实(shi)验室真(zhen)正(zheng)地(di)进入工业(ye)化生产(chan)中(zhong)[5]。作为(wei)溅(jian)射(she)技(ji)术(shu)的基本组(zu)成(cheng)部(bu)分(fen),溅射(she)靶(ba)材的制备技术(shu)也(ye)随
着溅(jian)射技(ji)术(shu)及(ji)设备的改进(jin)与(yu)发展(zhan)而(er)得到(dao)了长足(zu)发(fa)展(zhan)[6]。溅(jian)射(she)靶材因其应(ying)用性(xing)较强,因此(ci)对(dui)技术(shu)要(yao)求较(jiao)高(gao)[7]
。
溅(jian)射铌(ni)管(guan)靶用高(gao)纯铌材料是产业关联度较(jiao)大(da)的(de)新材(cai)料(liao)[8]。高品质的(de)高纯(chun)铌材(cai)对(dui)其他(ta)许多高(gao)科(ke)技(ji)领(ling)域也(ye)
有(you)着重要(yao)的(de)影响(xiang)[9]。现阶(jie)段,电子束(shu)真(zhen)空熔(rong)炼(lian)是一种(zhong)被(bei)广(guang)泛(fan)使用(yong)的(de)提(ti)高铌铸(zhu)锭(ding)纯度的有(you)效方式[10]。在工(gong)
业(ye)使(shi)用中,能(neng)够(gou)很(hen)好的对(dui)蒸气(qi)压高的(de)难熔金(jin)属进(jin)行提纯(chun),其(qi)设备是应(ying)用高(gao)能(neng)量电(dian)子(zi)形成(cheng)的(de)电子(zi)束(shu)对需(xu)要熔炼
的金属(shu)进行轰击(ji),电(dian)子束产生(sheng)的(de)高温会让金属(shu)熔化,整(zheng)个熔化过程(cheng)都(dou)是(shi)在(zai)真(zhen)空(kong)气(qi)氛(fen)下(xia)进行的,真(zhen)空(kong)环(huan)境有(you)利(li)
于非(fei)金属(shu)、金(jin)属杂质(zhi)的(de)挥发(fa),能够取得较好(hao)的提(ti)纯(chun)效果[11-12]。如图(tu)1所示。

为(wei)了满足(zu)国(guo)内溅射靶材(cai)用高(gao)纯铌(ni)材(cai)的(de)巨(ju)大需(xu)求(qiu),提(ti)高高纯铌(ni)材(cai)品(pin)质稳定(ding)性,进(jin)一步(bu)降(jiang)低溅射靶材(cai)铌(ni)的(de)工
程化应用(yong)成本(ben),文章(zhang)通过(guo)选(xuan)择优(you)质(zhi)铌条为(wei)原料(liao),进行多次(ci)电子(zi)束熔(rong)炼提纯获(huo)得高(gao)纯度(du)、大规(gui)格(ge)的铌(ni)铸(zhu)锭(ding),研(yan)
究(jiu)了不同杂质(zhi)元素(su)在铌锭(ding)轴向分(fen)布情况(kuang),结合(he)蒸(zheng)发-温度规(gui)律分析铌(ni)锭(ding)杂(za)质去除机制。
1、实(shi)验方法
1.1 高(gao)纯铌(ni)铸(zhu)锭(ding)制备
原(yuan)料(liao)为尺(chi)寸(cun) 25mm×25mm×500mm 的(de)烧结(jie)铌(ni)条(tiao)。采(cai)用(yong)铌(ni)丝捆(kun)绑的方(fang)式(shi)制(zhi)备熔炼电极,以(yi)防焊(han)接(jie)过程(cheng)存在(zai)
的(de)污(wu)染(ran)。原(yuan)料(liao)铌(ni)条如(ru)图 2 所(suo)示(shi),原(yuan)料(liao)铌条(tiao)的(de)化学(xue)成分如表(biao) 1 所(suo)示(shi)。


实验(yan)在(zai) 500kW 电(dian)子(zi)束熔炼(lian)炉(lu)中(zhong)进行(xing),电(dian)子枪(qiang)室(shi)真(zhen)空度(du)达(da)到(dao) 6×10-3Pa,熔(rong)炼室真空(kong)约为(wei) 5×10-2Pa。
通过(guo)电(dian)子束(shu) 3 次熔炼,得(de)到直(zhi)径(jing) 300mm 的(de)铌铸锭(ding),如(ru)图 3 所(suo)示。1.2 检验(yan)方(fang)法(fa)低(di)倍(bei)组织样(yang)在(zai)铸(zhu)锭上部切
取 300mm×10mm 铌(ni)圆片(pian),表(biao)面(mian)经(jing)机(ji)加工(gong)后进(jin)行(xing)酸洗(xi)腐蚀。化学成(cheng)分样(yang)在(zai)铌(ni)锭(ding)的上、中(zhong)、下(xia)三处(chu)分(fen)别取样,O
、N、H 元(yuan)素采(cai)用惰(duo)气(qi)熔(rong)融-热导/红(hong)外(wai)法检(jian)测,C 元素采用高(gao)频(pin)燃烧-红外(wai)吸(xi)收法进行(xing)检测(ce),金(jin)属元(yuan)素分(fen)析(xi)采(cai)
用(yong)辉(hui)光(guang)放(fang)电(dian)质(zhi)谱法(fa)(GDMS 法(fa))。

2、结(jie)果与(yu)讨(tao)论(lun)
2.1 铌(ni)锭低(di)倍金相(xiang)组织
铌锭上部的(de)低倍金(jin)相如(ru)图(tu) 4 所示,无(wu)偏(pian)析(xi)、裂纹、孔(kong)洞(dong)等严(yan)重缺(que)陷(xian)区(qu),而铌(ni)锭晶粒比较粗大(da),且沿径
向(xiang)越靠近(jin)中心,晶粒(li)尺寸越(yue)大,边(bian)缘(yuan)晶粒(li)尺(chi)寸(cun)相对(dui)较(jiao)小(xiao)。在整个(ge)电(dian)子(zi)束(shu)熔炼(lian)过程中,铸锭的(de)中(zhong)间(jian)区域(yu)是(shi)熔池(chi)
,且(qie)该(gai)位置(zhi)的(de)温度是整体(ti)温(wen)度最(zui)高(gao)的区域(yu),温(wen)度高(gao)有(you)利于晶粒(li)的(de)形核与快(kuai)速长(zhang)大,铸锭(ding)中(zhong)心区(qu)域的(de)熔池(chi)冷(leng)却
最慢,且(qie)维(wei)持熔(rong)融状态(tai)的时间最长,晶(jing)粒(li)有充足的(de)时(shi)间长大,而铌(ni)铸(zhu)锭边(bian)部(bu)由于受到水冷铜坩(gan)埚冷(leng)却作(zuo)用(yong),
温度低(di),冷(leng)却(que)速(su)度快,抑(yi)制(zhi)了晶粒的(de)长(zhang)大(da),因(yin)此(ci)晶粒(li)尺(chi)寸较(jiao)小。

2.2 铌(ni)锭(ding)间隙元素(su)分析(xi)
铌锭当中(zhong)既(ji)含(han)有 O、N、H、C 等(deng)间隙杂质(zhi)元(yuan)素,同(tong)时(shi)也(ye)含有 Fe、Si、Mo、Ta、W、Zr 等非(fei)间隙杂(za)质元(yuan)
素。
整个熔炼过程(cheng)中(zhong),杂质元(yuan)素(su)在铌(ni)铸锭当中(zhong)的(de)分布并不(bu)均匀,本次(ci)实验(yan)分别从铌锭端部、中(zhong)部(bu),以及(ji)底部(bu)
取(qu)样(yang),对(dui)同(tong)一(yi)铌(ni)锭(ding)不同(tong)位置取样(yang)结果进(jin)行分(fen)析(xi)。由图 5(a)、(b)、(c)、(d)能(neng)够(gou)看(kan)出(chu),C、N、O 三
种元(yuan)素(su)在(zai)第一(yi)次电子(zi)束(shu)熔(rong)炼(lian)后,含量(liang)出(chu)现(xian)急(ji)剧下降,且随着熔(rong)炼次数的(de)增(zeng)加,在(zai)第(di)二(er)次(ci)熔(rong)炼(lian)后,含量(liang)继续下
降(jiang),因此(ci),应用电(dian)子束(shu)真空(kong)熔(rong)炼(lian)的(de)方(fang)法(fa)对铌铸(zhu)锭(ding)当(dang)中(zhong)的(de) C、O、N 具有非(fei)常明显的(de)脱(tuo)除效(xiao)果(guo)。而原(yuan)料本身 H
的含(han)量较少(shao),H 的含量(liang)经(jing)过电(dian)子束熔(rong)炼(lian)后有(you)所下降(jiang),但(dan)是(shi)下降(jiang)趋势(shi)不明显。通过(guo)对(dui)铌(ni)锭(ding)端(duan)部、中部、底(di)部取
样(yang)结(jie)果(guo)进(jin)行比(bi)较发现(xian),C、N、H、O 四种(zhong)元(yuan)素在铌锭轴向(xiang)分布(bu)当(dang)中,含(han)量差异不(bu)大,不(bu)同(tong)取(qu)样(yang)位(wei)置(zhi)的(de)C、N、H
、O 含(han)量(liang)并(bing)没有明显(xian)的差(cha)距。

图(tu) 5 显(xian)示出(chu)经(jing)过(guo)多次(ci)的电(dian)子束熔炼后,铌铸(zhu)锭当(dang)中(zhong)的间隙元素含量(liang)明(ming)显与熔炼次(ci)数(shu)相(xiang)关,且随着熔炼
次(ci)数的(de)增(zeng)多,含量(liang)越低,间(jian)隙(xi)元素(su)的去除效(xiao)果越好。间(jian)隙(xi)元(yuan)素在(zai)铌金属(shu)液(ye)中一般是(shi)以分(fen)子(zi)状态(tai)存(cun)在(zai)的,随(sui)着(zhe)
熔炼(lian)时(shi)间的逐渐(jian)增(zeng)加会(hui)让间隙元(yuan)素逐渐(jian)地(di)蒸发(fa)去除。铌(ni)铸(zhu)锭当(dang)中的(de)一(yi)部(bu)分 O 元素能够(gou)随(sui)着(zhe)熔(rong)池(chi)中(zhong)夹杂物的(de)
上浮(fu)一(yi)同去(qu)除(chu),另(ling)一(yi)部分 O 元素(su)能够(gou)通过与其(qi)他(ta)间(jian)隙(xi)元素反(fan)应(ying),如(ru) H、O 等(deng)生(sheng)成气(qi)体挥(hui)发(fa)物而(er)被(bei)去(qu)除。氧
氢(qing)元(yuan)素含量(liang)的(de)降(jiang)低,可(ke)提(ti)高(gao)铌(ni)材的导电性能和(he)防(fang)止(zhi)材(cai)料(liao)开裂(lie)。C 元(yuan)素与(yu) O 元素(su)共同(tong)去除,如(ru)式(shi)(1):

当(dang)铌锭(ding)中 C 元(yuan)素(su)含(han)量(liang)较(jiao)少(shao)时,也会有少(shao)量氢(qing)脱氧(yang)发(fa)生,如(ru)式(shi)(2):

而 C 的去(qu)除主要与(yu) O 元素(su)相(xiang)关。此(ci)外(wai),在本(ben)次实(shi)验(yan)中还发(fa)现,铌锭熔(rong)炼过(guo)程(cheng)中(zhong),真空气(qi)氛中 C 元素
浓度也(ye)将降低(di)金(jin)属(shu)的精(jing)炼(lian)效(xiao)率,故(gu)采用(yong)无(wu)油(you)泵作为真(zhen)空抽(chou)吸(xi)系统,也(ye)是(shi)提高(gao)难(nan)熔金属杂质元(yuan)素 C 的精(jing)炼(lian)效
率的(de)有(you)效途径。
2.3 铌锭(ding)非(fei)间(jian)隙(xi)元(yuan)素去(qu)除机(ji)制
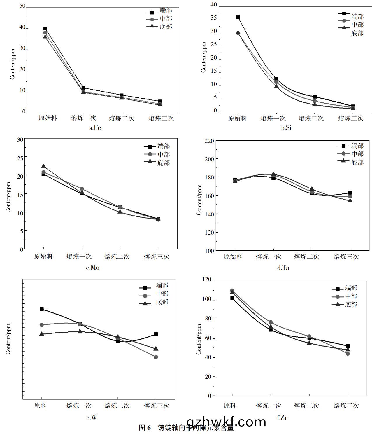
对(dui)原(yuan)料(liao)铌进行 3 次熔炼(lian),每次均对原料、铌锭端(duan)部,铌(ni)锭中部、铌(ni)锭底部取样,进(jin)行成分(fen)分(fen)析(xi),结(jie)果
如图(tu) 6所示(shi),在(zai)电子(zi)束熔(rong)炼过(guo)程结束后,原始料(liao)当(dang)中的非(fei)间隙杂(za)质含(han)量(liang)出现(xian)较(jiao)为明(ming)显(xian)的变化(hua),多(duo)次的电(dian)子(zi)束(shu)
熔炼(lian)具有(you)一定的提纯(chun)效果,能够(gou)得(de)到(dao)比原始料(liao)杂(za)质(zhi)含(han)量(liang)更(geng)低(di)的铌(ni)锭(ding)。

图 5(a)、(b)、(c)、(d)、(
e)、(f)中列出(chu)铌(ni)铸锭当中(zhong) Zr、Ta、Mo、Si、Fe、W 元(yuan)素(su)含(han)量(liang)的具体变化(hua),每(mei)种杂质(zhi)元素的(de)具(ju)体含(han)量(liang)变
化均(jun)不相(xiang)同,按(an)照具(ju)体(ti)趋势(shi)可将(jiang)杂质分为 3 类:
第(di)一类杂(za)质元素在(zai)熔(rong)炼(lian)过(guo)程中(zhong),杂(za)质(zhi)元素含量(liang)未发(fa)生(sheng)明显(xian)的(de)变(bian)化或(huo)者(zhe)发生(sheng)的(de)变化较(jiao)小(xiao),如元(yuan)素 Ta、W
熔炼前后(hou)杂质(zhi)含量变(bian)化(hua)很小。原始料中(zhong) Ta、W 元素含量与熔(rong)炼三(san)次后(hou)元素(su)含(han)量基(ji)本(ben)没有差(cha)别(bie),整个电子束
熔(rong)炼(lian)过(guo)程(cheng)并(bing)没(mei)有(you)让元素含(han)量(liang)发(fa)生(sheng)显著(zhu)变化(hua);端面(mian),中(zhong)间(jian)以及(ji)底部(bu)三(san)个点(dian)的元(yuan)素(su)含(han)量也(ye)显(xian)示,Ta、W 元(yuan)素在(zai)轴
向的分(fen)布并没有(you)明(ming)显的差距。如图 7 各(ge)元(yuan)素蒸气(qi)压(ya) - 温度(du)变化(hua)曲(qu)线图(tu)能够看出,Ta、W 的蒸(zheng)气压(ya)与(yu) Nb 元(yuan)
素最(zui)为(wei)接近,很(hen)难利用(yong)蒸发脱除(chu),想要(yao)进(jin)一步(bu)减少铌(ni)锭(ding)当(dang)中 Ta、W 的含(han)量,应在(zai)制备原(yuan)料(liao)时(shi)应用化学(xue)方(fang)法
将(jiang) Ta、W 的(de)含量降至最(zui)低。

第(di)二类杂质元(yuan)素(su)经(jing)过(guo)电子(zi)束熔(rong)炼(lian)后(hou),元素含量减少,有(you)着(zhe)较(jiao)为明(ming)显(xian)的脱(tuo)除效果,但(dan)是在铌锭轴(zhou)向分(fen)布并
没有(you)明(ming)显变化(hua)。例(li)如(ru),元(yuan)素 Mo、Zr,Mo、Zr 元(yuan)素含量(liang)经过电子束熔炼降(jiang)至(zhi) 100ppm 以(yi)下(xia)。
第三(san)类(lei)杂(za)质(zhi)元素经(jing)过熔(rong)炼(lian)后在铌锭(ding)轴向上(shang)分布具有(you)明显差(cha)异,端部(bu)元素(su)含量(liang)高(gao)于铸(zhu)锭(ding)中(zhong)部以及(ji)铸锭(ding)底(di)部
,且(qie)经(jing)过(guo)熔炼过程(cheng),元素(su)含(han)量与原(yuan)始(shi)料相(xiang)比(bi)出现(xian)明显的降低。当杂质元(yuan)素(su)的饱和(he)蒸(zheng)气(qi)压(ya)远(yuan)大(da)于(yu)熔体(ti)铌(ni)元素的(de)
蒸(zheng)气压时,其在真空(kong)环境中更(geng)易(yi)以(yi)气(qi)体形式(shi)从(cong)熔体(ti)中(zhong)挥(hui)发出去,达到(dao)提(ti)纯目的(de)。例(li)如,Si、Fe 等(deng)元素,这(zhe)
两种元素(su)由(you)于凝固过(guo)程作用(yong)会汇(hui)聚到铸(zhu)锭的(de)顶(ding)部。
不同(tong)元(yuan)素(su)在(zai)具体(ti)蒸(zheng)气(qi)压(ya)和温度下应该符(fu)合克(ke)劳(lao)修(xiu)斯(si)-克莱(lai)普(pu)朗(lang)方程式,如(ru)式(shi)(3):

式(shi)中:Vg 为蒸(zheng)发后
的(de)体(ti)积(ji);Vl为 1mol 液(ye)体(ti)体积(ji);L为已(yi)经(jing)吸(xi)收的蒸(zheng)发(fa)潜热。由(you)式(3)变形(xing),可得(de)式(shi)(4)(5):

式(shi)中(zhong):D 为(wei)常(chang)数,根据(ju)公(gong)式及(ji)相关文(wen)献可以对各(ge)元素的(de)蒸(zheng)气(qi)压(ya)-温度(du)曲线进行绘制(zhi)。其(qi)中(zhong) W 元素的(de)蒸气
压(ya)最低(di),且(qie) Nb 的蒸气(qi)压高(gao)于 W 与(yu) Ta。Mo 与(yu) Zr 的蒸(zheng)气(qi)压(ya)略比铌高,Nb 与 Fe,Si 两(liang)种(zhong)元素蒸气压(ya)差值(zhi)
大,且(qie)杂质(zhi)元(yuan)素的脱除是(shi)符(fu)合(he)蒸气(qi)压(ya)差(cha)规律(lv)的(de)。
3、结论
首(shou)先(xian),电子束(shu)熔炼后,铌(ni)锭表面(mian)晶粒(li)组织(zhi)粗(cu)大(da);铌(ni)锭(ding)当中(zhong)的杂(za)质含量明显降低(di),其中间隙元(yuan)素 C、N、O
的含量随(sui)着熔(rong)炼(lian)次(ci)数(shu)的增加(jia)有明显降低,O 元(yuan)素主(zhu)要(yao)通过(guo)与(yu)碳(tan)、氢反(fan)应(ying)时(shi)生(sheng)成(cheng)气(qi)态(tai)挥(hui)发(fa)产(chan)物(wu)而去(qu)除。H 元素(su)
的(de)含量(liang)在熔(rong)炼(lian)前后变化并(bing)不(bu)大。熔炼后(hou),在(zai)铸(zhu)锭(ding)轴(zhou)向(xiang)取(qu)点检(jian)验 C、H、O、N 元素(su)含(han)量,四(si)种间隙(xi)元(yuan)素(su)在轴(zhou)向
含量变(bian)化(hua)不大。
其次,根据(ju)热(re)力学相(xiang)应(ying)的规(gui)律(lv)得(de)知(zhi),杂(za)质元素的(de)饱和蒸气压越(yue)高(gao),则(ze)更(geng)易被(bei)通(tong)过挥(hui)发(fa)行(xing)为脱(tuo)除(chu),本(ben)实验
结果(guo)也(ye)符(fu)合(he)这(zhe)一(yi)规(gui)律。本实验利(li)用饱和蒸气(qi)压差(cha)的方(fang)式对铌铸锭(ding)中(zhong)含(han)有(you)的(de)杂质进行提纯是(shi)切(qie)实(shi)有(you)效(xiao)的(de)可(ke)行(xing)方
式。根(gen)据(ju)动力学理论,杂质(zhi)元(yuan)素(su)主要可(ke)根(gen)据(ju)蒸气压差法(fa)分(fen)为(wei) 3 类,第(di)一(yi)类(lei)为(wei)蒸气压比铌元(yuan)素(su)小(xiao)的元(yuan)素(su),例(li)
如(ru),W及 Ta 元(yuan)素,这(zhe)类(lei)元素(su)通常(chang)含(han)量(liang)在熔炼(lian)过程中(zhong)没(mei)有(you)明(ming)显变化;第(di)二类(lei)元(yuan)素(su)是蒸(zheng)气(qi)压比(bi)铌(ni)元(yuan)素(su)略(lve)高的元
素,这(zhe)类(lei)元(yuan)素有(you) Zr 及(ji) Mo,这两(liang)种(zhong)元素(su)通(tong)过电(dian)子(zi)束熔(rong)炼能(neng)够起(qi)到(dao)良好(hao)的脱(tuo)除效果,但是杂质元(yuan)素含(han)量在铸
锭(ding)轴(zhou)向分布(bu)上并(bing)没有明(ming)显的(de)含量(liang)差异(yi);第三类(lei)是(shi)蒸(zheng)气压比(bi)铌元(yuan)素大(da)的元(yuan)素(su),这类(lei)元素有(you) Fe 和(he) Si,这(zhe)类(lei)元(yuan)
素(su)由(you)于具有较大(da)的蒸(zheng)气(qi)压,会聚(ju)集于(yu)铌铸锭(ding)的上端,且会在水冷(leng)铜(tong)坩埚(guo)的(de)定向(xiang)凝(ning)固作(zuo)用下(xia)出(chu)现(xian)明显的宏观成(cheng)
分(fen)含量(liang)偏(pian)差(cha)。
参考(kao)文(wen)献(xian)
[1]Baron M,Takken A,Yashchin E,et al.Modeling and Forecasting of Defect -Limited
Yield in Semiconductor Manufacturing[J].IEEE Transactions on Semiconductor Manufacturing,
2008,21
(4):614-624.
[2]王(wang)国(guo)栋(dong),王艳,李(li)高林(lin),等(deng).溅射(she)用优质(zhi)铌靶材(cai)的(de)制(zhi)备[J].稀(xi)有(you)金属(shu)材(cai)料(liao)与(yu)工程(cheng),2008,37(S4
):533-536.
[3]周鸿奎.国(guo)内(nei)溅射(she)靶(ba)材发(fa)展与(yu)应(ying)用[C].//广(guang)东(dong)省真(zhen)空学会(hui).2012 年(nian)广(guang)东(dong)省真(zhen)空学会学术(shu)年(nian)会论(lun)文
集(ji),2012:34-40.
[4]迟伟光(guang),张凤戈,王(wang)铁军,等(deng).溅射(she)靶材的(de)应用及发展(zhan)前景(jing)[J].新材(cai)料(liao)产业,2010(11):6-
11.
[5]MingWei W,YanChi C.The Sintering Trajectory and Electrical Properties ofNiobium
Doped Titania Sputtering Targets[J].Journal of theAmericanCeramic Society,2014,98(1):
163-170.
[6]Michaluk A C .Correlating discrete orientation and grain size to the sputter
deposition properties of tantalum[J].Journal of ElectronicMaterials,2002,31(1):2-9.
[7]王(wang)德(de)志.圆(yuan)平(ping)面(mian)磁(ci)控(kong)溅(jian)射(she)靶的(de)优(you)化(hua)研(yan)究[D].沈阳(yang):东北大(da)学(xue),2011.
[8]李(li)晶(jing),安(an)耿(geng),党晓(xiao)明(ming),等.一种(zhong)钼铌合(he)金(jin)靶材(cai)板(ban)的(de)制(zhi)备(bei)方(fang)法:CN201410840759.0[P].2015-04-
29.
[9]董亭义(yi),万小(xiao)勇,章(zhang)程(cheng),等(deng).磁控(kong)溅射钛(tai)靶材的发(fa)展概述(shu)[J].金属(shu)功(gong)能材(cai)料,2017,24(5):
57-62.
[10]陈海峰(feng),薛(xue)莹洁.国内外(wai)磁控溅射(she)靶(ba)材(cai)的研究(jiu)进(jin)展(zhan)[J].表(biao)面技(ji)术(shu),2016,45(10):56-63.
[11]马(ma)运柱,刘业,刘文(wen)胜(sheng),等(deng).电(dian)子束端(duan)面熔炼法(fa)制备(bei)高纯钨的研(yan)究(jiu)[J].材(cai)料(liao)科(ke)学(xue)与工(gong)艺,2014
,22(1):30-35.
[12]颉维平,陈林(lin),李明(ming)阳,等.射(she)频(pin)超导腔用大(da)晶(jing)粒高(gao)纯(chun)铌(ni)片(pian)的研制[C].//中国工(gong)程(cheng)院(yuan)化(hua)工(gong).冶金(jin)
与(yu)材(cai)料(liao)工程(cheng)学(xue)部(bu)第(di)九届(jie)学术(shu)会(hui)议(yi)论(lun)文集,2012:967-971.
相(xiang)关(guan)链接