引(yin)言(yan)
磁(ci)控(kong)溅射(she)是一(yi)种(zhong)常(chang)见的(de)物理气相沉积方(fang)法(fa),具(ju)有沉积(ji)温度(du)低、沉积(ji)速(su)度(du)快(kuai)、方便(bian)多个靶(ba)材(cai)进(jin)行材(cai)料(liao)合成等(deng)优(you)点(dian),常用于(yu)金(jin)属[1-3]、半导体(ti)[4-6]、绝(jue)缘体[7-9]等(deng)多(duo)种(zhong)薄(bao)膜(mo)材料的(de)制(zhi)备(bei)。然(ran)而,在磁(ci)控(kong)溅射过(guo)程(cheng)中,不同(tong)材料(liao)的(de)溅(jian)射(she)原(yuan)子角(jiao)分(fen)布(bu)差(cha)异(yi)很大[10],而(er)且合金材(cai)料(liao)的一些参(can)数不(bu)易(yi)设(she)定(ding),因此采(cai)用晶(jing)振片(pian)监测(ce)沉积(ji)薄膜(mo)厚度有很(hen)大(da)的(de)局(ju)限性。在(zai)实(shi)际使(shi)用中(zhong),通常(chang)选择控(kong)制(zhi)溅射(she)工(gong)艺时(shi)间来(lai)控制所(suo)制备(bei)沉(chen)积(ji)薄(bao)膜(mo)厚度(du)。具(ju)体做法(fa)
是:在(zai)一(yi)小段(duan)时(shi)间(jian)内(nei)溅(jian)射(she)沉(chen)积某(mou)种薄膜,采(cai)用台(tai)阶(jie)仪测(ce)得厚度值并换算成沉积速率;当制(zhi)备具(ju)体厚(hou)度的该材
料(liao)薄(bao)膜时(shi),只需(xu)简单(dan)的(de)比例运(yun)算(suan),就(jiu)可得到(dao)沉(chen)积该厚(hou)度所(suo)需(xu)要的时(shi)间(jian)。
在(zai)大(da)量(liang)的实验记录中(zhong)发(fa)现,通(tong)过(guo)控(kong)制(zhi)溅射工艺时(shi)间(jian)来(lai)控(kong)制薄膜厚度的方(fang)法也(ye)存(cun)在(zai)一定的缺陷(xian)。当(dang)溅射(she)靶材(cai)为铜、铝、钛、铬(ge)等金属(shu)靶材时(shi),沉(chen)积薄膜(mo)厚(hou)度和(he)溅射(she)工艺时(shi)间符合(he)线(xian)性规(gui)律(lv),采用(yong)溅射工艺时(shi)间控制沉(chen)积(ji)薄(bao)膜厚(hou)度(du)比较(jiao)科学。然(ran)而,当靶材为(wei)氧(yang)化(hua)锌(xin)、二氧(yang)化(hua)硅(gui)等导(dao)热差的(de)材(cai)料(liao)时(shi),随着(zhe)溅(jian)射工(gong)艺(yi)时间的(de)延(yan)长(zhang),溅(jian)射(she)速(su)率(lv)在(zai)一(yi)定(ding)时间后(hou)突然增加,出现“溅(jian)射失(shi)重(zhong)”现象[10],让沉积薄膜(mo)厚(hou)度(du)变(bian)得不再(zai)可控(kong)。为此,根据所用设备的(de)特点(dian)和(he)靶(ba)材的(de)实际导热情况以及溅(jian)射时(shi)腔(qiang)内(nei)的温度(du)变化(hua)建立数学模型,采用(yong)Matlab软件模(mo)拟靶材表(biao)面(mian)温度随(sui)溅(jian)射工艺时(shi)间(jian)的(de)变(bian)化(hua)关系,阐明(ming)氧(yang)化(hua)锌、二(er)氧化硅靶材(cai)溅(jian)射(she)速率(lv)突(tu)然增(zeng)加(jia)的原因(yin)。
1、实验(yan)部分
磁控溅射镀(du)膜(mo)设备(bei)为explore-14多靶(ba)磁(ci)控溅射(she)镀膜系(xi)统,共有3个直径为(wei)3in(lin=2.54cm)的(de)水冷(leng)靶枪,配备(bei)2个(ge)直(zhi)流电(dian)源(yuan)和(he)1个(ge)射频电(dian)源。水冷(leng)靶枪的常(chang)年温度约(yue)为25℃。靶(ba)材中(zhong)心距工件台(tai)中心约为(wei)15cm,靶平(ping)面(mian)与(yu)工件(jian)台(tai)平面(mian)的(de)夹角约为45°。选(xuan)用直(zhi)径(jing)3in的铜(tong)、铝(lv)、氧化(hua)锌和(he)二(er)氧化硅靶材(cai),靶材(cai)纯度均为99.999%,靶(ba)材(cai)厚度为(wei)5mm。衬底均(jun)为4in清(qing)洗(xi)干(gan)净(jing)的单(dan)面(mian)抛光(guang)硅片(pian)。
所(suo)有(you)待(dai)沉(chen)积(ji)薄(bao)膜(mo)的(de)硅(gui)片在(zai)放置(zhi)于(yu)工件(jian)台之前(qian),贴(tie)好(hao)十字(zi)形聚酰亚(ya)胺(an)胶带(dai),方便(bian)后序(xu)台阶(jie)仪(yi)测量(liang)薄膜(mo)的(de)厚(hou)度(du)。
1.1 铜靶(ba)材(cai)溅射
在(zai)2个(ge)直流靶上(shang)分(fen)别安(an)装(zhuang)铬和铜靶材。将腔内(nei)抽真(zhen)空到(dao)0.1MPa后,对(dui)2个(ge)靶(ba)材预(yu)溅(jian)射清洗(xi)2min。靶(ba)材(cai)溅(jian)射清洗具体工(gong)艺(yi)条件(jian)为(wei):工(gong)作(zuo)气压0.8Pa,溅(jian)射功率(lv)300W。然(ran)后(hou),对(dui)已(yi)经放(fang)置于工件(jian)台(tai)上(shang)的(de)硅片(pian)衬底溅射沉积(ji)薄(bao)膜。具体(ti)做法如(ru)下(xia):先在硅(gui)片(pian)上溅射(she)约(yue)10nm的(de)铬,增(zeng)加(jia)铜和衬底(di)的黏附性(xing)。溅(jian)射铬(ge)的工艺(yi)条(tiao)件(jian)为(wei):溅射功率(lv)300W,工(gong)作(zuo)气(qi)压(ya)0.8Pa,溅射(she)工艺(yi)时间(jian)40s,工(gong)件台旋转速(su)度(du)10r/min。关闭(bi)铬靶电(dian)源(yuan),打(da)开铜靶电(dian)源对衬(chen)底(di)进(jin)行(xing)溅(jian)射。溅(jian)射(she)铜的(de)工艺条(tiao)件为:溅射(she)功(gong)率300W,工作气压0.8Pa,溅射工艺时(shi)间(jian)15min,工(gong)件(jian)台(tai)旋(xuan)转(zhuan)速度(du)10r/min。溅(jian)射完(wan)毕(bi)后(hou),取出(chu)样(yang)品并测(ce)量厚(hou)度。更换为(wei)全(quan)新的(de)铜靶(ba)和(he)待(dai)沉积的(de)硅片(pian)样(yang)品,重复上(shang)述(shu)制备铜膜的工(gong)艺步骤,将溅射工(gong)艺(yi)时(shi)间分(fen)别延(yan)长为(wei)30、45、60、75、90、105、120min。需要注意的(de)是(shi),为(wei)了实验(yan)
的严谨性(xing),每制备(bei)一(yi)次(ci)新样品都(dou)要更(geng)换全(quan)新(xin)的(de)铜靶材。在(zai)所(suo)有(you)溅射过程(cheng)中(zhong),为(wei)了(le)防止腔内(nei)环(huan)境(jing)温(wen)度(du)升高(gao),
腔(qiang)壁吸(xi)附的水(shui)分(fen)子(zi)释放(fang)出(chu)来(lai)影响(xiang)溅(jian)射速(su)率,采(cai)用(yong)液氮在分子泵前端的(de)冷(leng)阱进(jin)行(xing)制冷(leng)。制冷间隔(ge)为(wei)每30min
加注(zhu)一次液(ye)氮。
1.2 铝(lv)靶(ba)材(cai)溅(jian)射(she)
铝(lv)靶(ba)材(cai)溅射和(he)铜(tong)靶(ba)材(cai)溅射的工(gong)艺步(bu)骤(zhou)相(xiang)同(tong),溅射前对(dui)靶(ba)材(cai)预(yu)溅(jian)射清洗(xi)2min。铝靶(ba)材的溅射功(gong)率为300W,工作(zuo)气(qi)压(ya)为0.8Pa,工件(jian)台旋转(zhuan)速(su)度(du)为10r/min,首次(ci)溅(jian)射工艺时间为15min,后续溅射(she)工艺(yi)时间(jian)分(fen)别为30、45、60、75、90、105、120min。2个(ge)直(zhi)流(liu)靶(ba)上(shang)分别安装钛(tai)和铝靶(ba)材,钛作(zuo)为铝(lv)膜(mo)的(de)黏(nian)附(fu)层每次(ci)沉积约(yue)10nm。工(gong)艺条件为:溅(jian)射功率300W,工(gong)作(zuo)气(qi)压0.8Pa,溅(jian)射工(gong)艺(yi)时间30s。每制备(bei)一次(ci)新(xin)样品(pin)后(hou)都要更换全(quan)新(xin)的(de)铝(lv)靶材(cai)。
1.3 氧(yang)化(hua)锌靶(ba)材(cai)溅射(she)
氧(yang)化锌(xin)靶材安装在射频电(dian)源靶枪(qiang)上(shang)。腔(qiang)内(nei)抽真(zhen)空(kong)到(dao)0.1MPa后,对(dui)氧化锌靶材预溅(jian)射清(qing)洗2min。预溅(jian)射功(gong)率(lv)为(wei)300W,工作(zuo)气(qi)压为(wei)0.8Pa。在沉(chen)积(ji)氧(yang)化(hua)锌(xin)薄膜之前(qian),用(yong)50W的(de)负(fu)偏(pian)压功(gong)率对衬底预(yu)清洗(xi)3min,增加薄膜(mo)和(he)衬底的(de)结(jie)合力(li)。溅(jian)射(she)氧(yang)化(hua)锌靶材(cai)的工(gong)艺(yi)条(tiao)件(jian)和溅射铜、铝靶(ba)材的工艺(yi)条(tiao)件(jian)相(xiang)同。每(mei)制(zhi)备一(yi)次(ci)新样(yang)品都(dou)要更换(huan)全(quan)新(xin)的氧(yang)化(hua)锌靶材(cai)。后续的(de)系(xi)列实(shi)验将(jiang)溅(jian)射工(gong)艺时(shi)间(jian)分别设定为30、45、60、75、90、105、120min,制备好样品后测(ce)量厚度(du)。
1.4 二(er)氧(yang)化硅(gui)靶材(cai)的溅(jian)射
二(er)氧(yang)化硅(gui)靶材的(de)溅(jian)射工(gong)艺(yi)参(can)数(shu)与步(bu)骤和氧化锌(xin)靶(ba)材(cai)的完全相同(tong),实验细节(jie)不再赘(zhui)述。
2、实验(yan)结果(guo)
去(qu)掉(diao)硅片(pian)上(shang)的聚酰亚胺胶(jiao)带,采(cai)用(yong)KLA-TencorP7台(tai)阶仪(yi)多次(ci)测量(liang)硅(gui)片(pian)不(bu)同位(wei)置所制备(bei)样品薄膜(mo)的厚(hou)度,求平均值(zhi)。相同(tong)溅(jian)射功(gong)率、不(bu)同溅射(she)工艺时(shi)间下(xia)沉(chen)积(ji)的(de)铜、铝(lv)、氧(yang)化(hua)锌(xin)、二氧化(hua)硅(gui)薄膜(mo)具体(ti)厚(hou)度如(ru)表1和图(tu)1所示(shi)。


3、分(fen)析(xi)与讨(tao)论(lun)
由(you)实(shi)验(yan)测试(shi)结果(guo)可(ke)知,铜、铝2种金(jin)属的沉(chen)积薄膜厚(hou)度和(he)溅(jian)射工(gong)艺(yi)时间(jian)几(ji)乎呈线(xian)性(xing)变化。在溅(jian)射(she)工(gong)艺(yi)时(shi)间40~80min区(qu)间(jian)内(nei),铜(tong)膜的(de)实(shi)际沉积(ji)厚度(du)比理论值(zhi)略有(you)增(zeng)加。造(zao)成这种(zhong)结(jie)果(guo)的(de)原(yuan)因可能(neng)是(shi):随着(zhe)铜(tong)靶(ba)材(cai)的(de)消耗(hao)、刻蚀(shi)槽(cao)的(de)加(jia)深,更多(duo)的磁场力(li)线露出(chu)靶面(mian),对电子的(de)束(shu)缚(fu)能(neng)力(li)更强(qiang),电(dian)子与(yu)氩气碰撞(zhuang)产生(sheng)更多(duo)的氩(ya)离子(zi),造成溅射产(chan)额(e)增加(jia),薄(bao)膜(mo)的(de)沉积(ji)速(su)率(lv)略快;当溅射(she)工艺时间(jian)超(chao)过(guo)90min,刻(ke)蚀槽(cao)的(de)继(ji)续加(jia)深(shen)导(dao)致“空心阴极(ji)效(xiao)应(ying)”现(xian)象(xiang)的产(chan)生(sheng),加(jia)速铜(tong)膜(mo)沉(chen)积(ji)速率(lv)的(de)降(jiang)低[11]。在(zai)溅射(she)工艺(yi)时间60~105min区间(jian)内铝(lv)薄膜(mo)沉(chen)积速率(lv)略增加(jia),在105~120min区(qu)间内沉积速率(lv)略(lve)下(xia)降(jiang),这是因(yin)为(wei)铝(lv)靶的溅(jian)射速率(lv)比(bi)铜(tong)靶慢,变化(hua)趋势也(ye)会相应(ying)延(yan)迟。
氧化(hua)锌和二氧(yang)化硅(gui)薄膜(mo)实际(ji)沉(chen)积厚(hou)度(du)在前期(qi)与(yu)理论(lun)值较(jiao)吻合,当(dang)溅射(she)工艺(yi)时间(jian)继续(xu)增加后(hou),实际厚度逐渐比理论值(zhi)偏(pian)大(da),甚(shen)至出现(xian)了“溅(jian)射失重(zhong)”的(de)现(xian)象(xiang)。这可能(neng)是(shi)由靶材的(de)导热(re)性(xing)能不(bu)好(hao)、靶(ba)材(cai)表(biao)面温(wen)度(du)过高所(suo)造(zao)成(cheng)的。根据(ju)所(suo)用(yong)溅(jian)射(she)镀膜(mo)设(she)备(bei)的具体特点(dian)和(he)靶(ba)材(cai)的导(dao)热(re)情(qing)况尝试建立(li)数学模型(xing)。
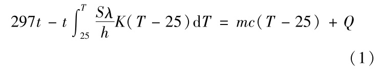
当靶(ba)材的溅射(she)功率为(wei)300W时,大(da)约只(zhi)有1%的(de)入(ru)射离(li)子(zi)能(neng)量(liang)转移(yi)到逸出的(de)溅射(she)原子中(zhong)[12]。剩下(xia)的(de)能量(liang)一部(bu)分(fen)消(xiao)耗在靶材的表(biao)层(ceng),转(zhuan)化(hua)为晶格的热振(zhen)动(dong),使(shi)靶(ba)材表面温度(du)升(sheng)高;另(ling)一部(bu)分用于氩气电(dian)离(li),释(shi)放的(de)热量(liang)以热(re)辐(fu)射(she)的形(xing)式对外传热。设靶(ba)材表面(mian)温(wen)度为T,当(dang)时(shi)间(jian)为t、冷水(shui)靶枪(qiang)的(de)温度(du)恒(heng)定(ding)为25时,温度(du)与时间(jian)的关(guan)系(xi)为

其(qi)中:S为实际(ji)导(dao)热面(mian)积(ji);λ为(wei)材料的平(ping)均导(dao)热系(xi)数;h为靶材厚(hou)度(du);K为靶(ba)材和(he)靶(ba)枪(qiang)两界(jie)面间(jian)的传(chuan)热(re)系(xi)数(shu);m为(wei)靶材质量(liang);c为靶材(cai)比热(re)容;Q为(wei)溅(jian)射(she)时整(zheng)个(ge)腔(qiang)体吸收的(de)热(re)量。
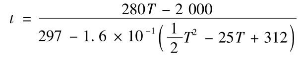
以(yi)铜靶(ba)材为(wei)例,在溅(jian)射(she)过(guo)程中氩(ya)离(li)子(zi)轰击主(zhu)要集中在(zai)刻(ke)蚀槽区域,靶材(cai)底(di)部(bu)的(de)实际(ji)导热面(mian)积(ji)S约为4cm2,平均导(dao)热(re)系(xi)数(shu)λ约(yue)为(wei)400W/(m.K),厚(hou)度h为(wei)5mm,K约为(wei)1mW/(m2.K),m约(yue)为(wei)0.2kg,c约为(wei)0.4mJ/(kg·℃),腔体吸收的(de)热(re)量(liang)Q与(yu)靶材表面的温(wen)度(du)存(cun)在(zai)比(bi)例(li)关(guan)系(Q=200T)。代(dai)入(ru)以上(shang)数(shu)据(ju),铜靶材(cai)表面温(wen)度(du)与溅(jian)射工(gong)艺时间(jian)的(de)关系(xi)为

将(jiang)另(ling)外(wai)3种材料的(de)平(ping)均(jun)导(dao)热(re)系数、靶材质量、靶材比(bi)热(re)容(rong)等(deng)数(shu)据代(dai)入式(shi)(1)后,用Matlab软件模(mo)拟(ni)出靶材表面(mian)温度随(sui)溅(jian)射(she)工(gong)艺时间的(de)变化(hua),如(ru)图2所(suo)示(shi)。

由图(tu)2模(mo)拟(ni)结果可知(zhi),对(dui)于(yu)铜、铝2种靶材,在(zai)溅(jian)射开(kai)始时(shi)靶材表(biao)面(mian)温度迅(xun)速升(sheng)高。随着(zhe)靶(ba)材表(biao)面和水冷(leng)靶(ba)枪(qiang)温差(cha)变大,热(re)量(liang)传输更(geng)加(jia)迅(xun)速。由(you)于铜、铝的(de)导热性能良好,在(zai)工艺(yi)开始(shi)的(de)10min后,溅射产(chan)生(sheng)和导(dao)走(zou)的热(re)量趋(qu)于平(ping)衡(heng),铜靶(ba)和铝(lv)靶(ba)表面温度(du)不(bu)再升(sheng)高(gao),分(fen)别(bie)约(yue)为(wei)75℃和94℃。两(liang)者(zhe)均(jun)没有达(da)到(dao)材料“溅(jian)射失重(zhong)”的临(lin)界温(wen)度,所以在(zai)整个实验中沉积薄膜(mo)厚度和(he)溅(jian)射(she)工(gong)艺时间(jian)几乎(hu)是呈(cheng)线(xian)性变(bian)化(hua)的(de)。
对(dui)于氧(yang)化锌和(he)二氧(yang)化硅(gui)2种靶(ba)材,由(you)于材料(liao)的(de)导热(re)性(xing)能(neng)较(jiao)差,加(jia)上材料(liao)温(wen)度(du)的升高,因(yin)此(ci)导(dao)热性能随之(zhi)下(xia)降[13]。靶(ba)材表(biao)面的热(re)量向水冷靶(ba)枪传(chuan)输比较(jiao)困(kun)难(nan),靶材(cai)表(biao)面温(wen)度不断(duan)升高(gao)。在(zai)约(yue)345℃和472℃时(shi),氧化(hua)锌和二(er)氧(yang)化(hua)硅(gui)靶(ba)材表面(mian)温(wen)度(du)趋于稳(wen)定(ding)。靶(ba)材(cai)表(biao)面(mian)温度的(de)升(sheng)高造成材料键长(zhang)增(zeng)加和稳定(ding)性变(bian)差。
当温度(du)达到某一(yi)临界(jie)值时(shi),氩(ya)离(li)子(zi)轰击(ji)靶(ba)材(cai)表面,更(geng)多的原子克服材(cai)料(liao)间的(de)键(jian)能(neng)而逸出靶(ba)面(mian),因(yin)此(ci)出现(xian)了“
溅射(she)失重”现(xian)象。在相(xiang)同的工(gong)艺条(tiao)件下(xia),氧化锌靶(ba)材(cai)“溅(jian)射失重”现(xian)象比(bi)二(er)氧(yang)化硅(gui)靶材出(chu)现(xian)较(jiao)早,这可能
是(shi)由氧(yang)化(hua)锌(xin)的键能约(yue)为270kJ/mol,而二氧化硅的(de)键能约为799kJ/mol[14],氧化(hua)锌(xin)靶(ba)材中氧(yang)和(he)锌(xin)键(jian)能较低(di)的(de)缘(yuan)故造(zao)成的。
4、结语(yu)
在使用(yong)磁(ci)控(kong)溅射镀膜设(she)备沉(chen)积薄(bao)膜时(shi),随(sui)着(zhe)溅(jian)射(she)工艺时间的延长,铜(tong)、铝靶材的溅(jian)射(she)速率(lv)变(bian)化不大(da),而(er)
氧(yang)化锌、二(er)氧化(hua)硅(gui)等靶(ba)材(cai)出现(xian)突(tu)然(ran)加(jia)速的“溅射(she)失重”现象(xiang)。由靶材表(biao)面温度(du)与(yu)溅射工(gong)艺时间(jian)的变(bian)化关(guan)系
可(ke)知,氧化锌和二氧化硅导(dao)热(re)性(xing)能(neng)不(bu)良造(zao)成靶(ba)材表(biao)面(mian)温度比铜(tong)、铝靶(ba)材表(biao)面(mian)温度高。靶(ba)材表(biao)面温度(du)超出(chu)“
溅(jian)射失重”的(de)临(lin)界(jie)温(wen)度(du),可(ke)能是氧化锌和(he)二(er)氧化硅靶(ba)材溅射(she)速(su)率(lv)突然(ran)增加的(de)原因(yin)。
参考文献(References):
[1] TsekouA,MartinhoF,MiakotaD,etal.Thee
ffectofsoft-annealingonsputteredCu2ZnSnS4thi
n-filmsolarcells[J].AppliedPhysicsA,2022,128:
970.
[2] LiY,WangQ.Compositioncontrolandselecti
veinfraredradiativepropertiesofcopperalloyoxi
desbyDCreactivesputtering[J].JournalofPhysic
s:ConferenceSeries,2022,2248:012008.
[3] LinX,ZhangY,ZhuZ,etal.Radiofrequency
sputteredfilmsofcopper-dopedzinctelluride[J].
ChemicalPhysicsLetters,2021,767:138358.
[4] AugustinA,UdupaKR,BhatKU.Characteriza
tionofDcmagnetronsputteredcopperthinfilmona
luminumtouchsurface[J].Transactionsoftheindianin
stituteofMetals,2019,72(6):1683-1685.
[5] YιldιrιmC,KaçarE,KιsacιkÖ,etal.investig
atingmechanicalpropertiesofB4Cfilmsproduced
bymagnetronsputteringPVD[J].SolidStateScienc
es,2023,146:107336.
[6] 付学成(cheng),乌李瑛(ying),权(quan)雪玲,等(deng).Mg和(he)V2O5共溅射制(zhi)备+4价钒的(de)氧化(hua)物薄(bao)膜(mo)[J]
.红外技术,2022,44(1):79-84.
[7] 焦(jiao)宇(yu)泽,杜(du)欣欣.CdTe薄(bao)膜射(she)频(pin)磁控溅(jian)射(she)法制(zhi)备(bei)研(yan)究[J].光(guang)源与(yu)照明,2023(8
):57-59.
[8] 许(xu) 飞,朱(zhu)江(jiang)转(zhuan),陆 慧(hui),等.射频(pin)反应(ying)磁控(kong)溅(jian)射生长ZAO薄(bao)膜(mo)的(de)光(guang)电性质[J].
实验(yan)室(shi)研究与(yu)探索,2019,38(11):46-50.
[9] 郝兰(lan)众(zhong),刘(liu)云杰,张亚(ya)萍,等.金(jin)属Pd掺(can)杂对(dui)MoS2/Si异(yi)质薄(bao)膜(mo)微(wei)结构和光(guang)
伏(fu)性能的影(ying)响[J].实验室(shi)研(yan)究与探索(suo),2017,36(6):
13-17.
[10] 张以忱(chen).真(zhen)空镀膜(mo)技(ji)术[M].北(bei)京:冶(ye)金(jin)工(gong)业(ye)出(chu)版社(she),2009.
[11] 郑(zheng)泽(ze)林,付(fu)学(xue)成(cheng),王 英,等.铝(lv)溅(jian)射(she)沉积速(su)率与刻(ke)蚀(shi)槽深(shen)度(du)变化(hua)关系(xi)研(yan)究[J].真空(kong)
科(ke)学与(yu)技(ji)术学报(bao),2018,38(7):610-614.
[12] 石玉龙,闫凤(feng)英(ying).薄(bao)膜(mo)技术与(yu)薄(bao)膜(mo)材料(liao)[M].北京:化(hua)学工(gong)业出版社(she),2015.
[13] 黄(huang) 昆(kun).固体物理(li)学[M].北京:高等教(jiao)育(yu)出版社(she),2002.
[14] 夏(xia)玉(yu)宇(yu).化(hua)学实(shi)验(yan)室手(shou)册[M].2版(ban).北京:化学(xue)工业出版(ban)社(she),2015.
相(xiang)关链(lian)接(jie)