前(qian)言
钛(tai)合(he)金(jin)紧(jin)固(gu)件具(ju)有(you)密度(du)小、比(bi)强度高(gao)、抗(kang)腐(fu)蚀性好等(deng)优点(dian),成(cheng)为航(hang)空、航(hang)天(tian)领域的重要(yao)连接元件(jian),获得
迅(xun)速(su)发(fa)展[1-2]。然(ran)而(er),钛(tai)合金紧(jin)固(gu)件的(de)摩(mo)擦(ca)因(yin)数较大且耐(nai)磨(mo)性(xing)能(neng)差,在装(zhuang)配(pei)和(he)拆卸过程(cheng)中(zhong),螺栓和(he)螺母(mu)易
发(fa)生(sheng)黏(nian)着,甚至(zhi)造成紧固件(jian)“咬(yao)死”,严(yan)重(zhong)影(ying)响了(le)航天型号(hao)的可(ke)靠性,阻(zu)碍了钛合(he)金紧(jin)固(gu)件(jian)在航空航天(tian)领域(yu)
的(de)进一步(bu)应(ying)用(yong)[2-5]。因此(ci),研究如(ru)何(he)改(gai)善(shan)钛(tai)合(he)金(jin)表面摩擦学性能、降(jiang)低(di)摩(mo)擦(ca)因数、提高(gao)其耐磨性成(cheng)为航空
、航(hang)天紧固件(jian)的(de)重(zhong)要研究课题之一(yi)。
目前,通过(guo)表(biao)面(mian)工程技(ji)术(shu)在(zai)钛(tai)合金表面(mian)制备高硬度(du)且(qie)抗磨(mo)损的涂层是(shi)改善其摩擦学(xue)性能的(de)有效途(tu)径(jing)之一
[6-7]。常(chang)用(yong)的(de)钛合(he)金表面涂层(ceng)制备技术(shu)包括(kuo)表(biao)面(mian)氧(yang)化[8-9]、气相沉(chen)积(ji)[10-12]、高(gao)能(neng)喷涂[13-14]、激光(guang)熔
覆(fu)[15-16]等。脉冲(chong)阳极氧(yang)化(hua)可(ke)在(zai)钛(tai)合金(jin)表面(mian)形成(cheng)致(zhi)密的氧化膜(mo),提(ti)高(gao)钛合金(jin)表(biao)面硬(ying)度(du)和耐(nai)磨(mo)性(xing),且工艺简(jian)
单(dan)成(cheng)本(ben)低(di)廉(lian),因此成(cheng)为一种应用(yong)广(guang)泛(fan)的(de)钛(tai)合金(jin)表(biao)面(mian)涂(tu)层(ceng)制(zhi)备(bei)技(ji)术[17-20]。此外(wai),脉冲阳极(ji)氧(yang)化可与(yu)其(qi)他(ta)工(gong)
艺进行(xing)复(fu)合,形成复(fu)合(he)氧(yang)化涂层(ceng),可在提(ti)高(gao)钛(tai)合(he)金硬度(du)的(de)同(tong)时降(jiang)低(di)其摩(mo)擦因数或(huo)提(ti)高(gao)其耐腐(fu)蚀性能(neng)。WU等(deng)
[17]使用(yong)阳(yang)极氧(yang)化法在钛(tai)合金(jin)表面制备(bei)了(le)包含聚四(si)氟乙(yi)烯(PTFE)纳米颗粒(li)的(de)复(fu)合(he)阳极(ji)氧化膜(mo),摩擦(ca)试(shi)验(yan)结(jie)
果表(biao)明(ming),氧(yang)化膜(mo)和(he)PTFE的协(xie)同作用提(ti)高了涂(tu)层(ceng)整(zheng)体的抗磨(mo)减摩性能。
ALIOFKHAZRAEI等[20]通(tong)过阳(yang)极氧(yang)化法制备了(le)包(bao)含(han)氮(dan)化硅(gui)(Si3N4)和氧化铝(
Al2O3)纳(na)米(mi)颗(ke)粒的复(fu)合氧(yang)化膜,提(ti)高了(le)钛合金整(zheng)体(ti)的耐磨性。
二(er)硫化(hua)钼(mu)(MoS2)作为一(yi)种常(chang)见二维(wei)层(ceng)状材(cai)料,其(qi)较(jiao)低的界面剪切(qie)强(qiang)度使(shi)其具有优越的(de)减
摩效果(guo),被广(guang)泛用(yong)于固体润滑(hua)材料[21-25]。在钛(tai)合(he)金(jin)紧固件(jian)表(biao)面(mian)涂敷(fu)MoS2,有(you)望(wang)降(jiang)低(di)其(qi)表面(mian)摩
擦(ca)因(yin)数,减(jian)少黏着(zhe)和(he)咬死(si)情况的发生。MU等[24]使用(yong)一步(bu)等离(li)子电(dian)解氧化(hua)法在(zai)钛(tai)合金表(biao)面制备了(le)含
MoS2的复(fu)合(he)氧(yang)化(hua)涂(tu)层。摩(mo)擦(ca)测试表(biao)明,含MoS2的(de)复合氧化涂(tu)层(ceng)摩(mo)擦因(yin)数和磨(mo)损率(lv)均(jun)
低(di)于不含(han)MoS2的(de)氧化(hua)涂(tu)层。
钛合(he)金紧(jin)固(gu)件连接铝(lv)合金航(hang)空(kong)结(jie)构时(shi),为了避免二者之(zhi)间(jian)产生(sheng)电(dian)偶腐(fu)蚀(shi),常(chang)需要(yao)对(dui)钛合(he)金紧(jin)固(gu)件进行(xing)镀
铝处理(li)[26]。所镀铝(lv)涂(tu)层(ceng)不(bu)仅(jin)能够阻隔(ge)紧固(gu)件(jian)基(ji)体(ti)与腐蚀(shi)介质相(xiang)接(jie)触(chu),而(er)且可通过牺牲(sheng)自身(shen)对(dui)周围(wei)构(gou)件(jian)起(qi)到(dao)
阳(yang)极(ji)保(bao)护(hu)作用(yong),因(yin)此在(zai)钛(tai)合(he)金(jin)紧(jin)固(gu)件中的(de)应(ying)用日(ri)趋广(guang)泛(fan)。
综(zong)上,阳(yang)极(ji)氧化、涂MoS2以(yi)及涂(tu)铝技术(shu)对(dui)于改善(shan)钛合金(jin)紧固件(jian)表面(mian)耐磨性、润滑(hua)性和(he)耐蚀(shi)
性具(ju)有(you)良(liang)好效果(guo),但这些技(ji)术的(de)综合(he)应(ying)用效(xiao)果尚需进一步研究。本(ben)文(wen)以TC4钛(tai)合金(jin)为基体(ti),分(fen)别(bie)对表面(mian)未处理(LT)、表(biao)面(mian)脉(mai)冲(chong)阳(yang)极氧(yang)化处理(PA)、表(biao)面脉(mai)冲阳(yang)极氧(yang)化(hua)和涂铝(lv)复合(he)处理(li)(PA-Al)、表面(mian)脉(mai)冲(chong)阳极氧
化(hua)和涂(tu)MoS2复(fu)合(he)处理(li)(PA-MoS2)四(si)种(zhong)表面(mian)状态样(yang)品(pin)进行(xing)了摩(mo)擦学性(xing)能(neng)综合分析(xi),
对其(qi)摩(mo)擦因(yin)数(shu)、磨(mo)损率、磨损形(xing)貌(mao)进(jin)行测(ce)试(shi),探究不同(tong)表面(mian)状(zhuang)态(tai)下(xia)钛(tai)合金(jin)摩(mo)擦副的摩(mo)擦特性(xing)和磨损机(ji)理。
1、试验(yan)准(zhun)备
1.1试验材(cai)料(liao)
试验(yan)选(xuan)用(yong)尺寸为(wei)φ12mm×5mm的TC4钛(tai)合金(jin)为试(shi)样(yang),选(xuan)用(yong)直径10mm的TC4钛(tai)合金(jin)小(xiao)球为(wei)对(dui)磨副,所(suo)用(yong)TC4钛(tai)合金(jin)的(de)化学(xue)成分(fen)如(ru)表(biao)1所示。

1.2表(biao)面(mian)涂(tu)层(ceng)制备
首(shou)先(xian)对试样进行(xing)表面(mian)脉(mai)冲(chong)阳(yang)极(ji)氧(yang)化处理(li),以(yi)TC4钛合(he)金(jin)试样为(wei)阳极,铅(qian)板为阴极。脉冲阳(yang)极氧(yang)化的(de)溶液
组成(cheng)为硫酸(suan)-磷(lin)酸混(hun)酸溶(rong)液(ye),试(shi)验温度为(wei)0~10℃,试(shi)验时间为20min。试(shi)验主(zhu)要工(gong)艺(yi)包括:化学(xue)除油、水(shui)洗(xi)
、阳极(ji)氧化、水(shui)洗干燥(zao)、检(jian)验(yan)等(deng)。采用(yong)手工喷涂的方(fang)法(fa),分别对脉(mai)冲(chong)阳极(ji)氧(yang)化(hua)处理后(hou)的(de)样品(pin)进行涂(tu)铝和(he)涂(tu)
MoS2处理,得到脉(mai)冲阳(yang)极氧(yang)化-涂铝和(he)脉(mai)冲(chong)阳极(ji)氧(yang)化-涂MoS2复(fu)合(he)处(chu)理(li)的(de)试样(yang)。
1.3试(shi)验参数(shu)确定
采(cai)用(yong)摩擦磨(mo)损(sun)试(shi)验(yan)机(UMT-3)测(ce)试(shi)不同表面状(zhuang)态(tai)钛(tai)合金(jin)样品(pin)的摩(mo)擦(ca)学(xue)性能,上试(shi)样选(xuan)用直径10mm的TC4
钛合金(jin)球,下(xia)试样分别(bie)为表(biao)面(mian)未(wei)处(chu)理(LT)、脉冲阳(yang)极(ji)氧(yang)化(hua)处(chu)理(PA)、脉冲(chong)阳(yang)极(ji)氧(yang)化(hua)和(he)涂铝(lv)复(fu)合(he)处(chu)理
(PA-Al)、脉冲阳(yang)极氧(yang)化和(he)涂(tu)MoS2复合处理(PA-MoS2)四(si)种(zhong)表面状(zhuang)态的(de)钛(tai)合金(jin)试(shi)
样(yang)。
分别(bie)选(xuan)取1和4N作(zuo)为测(ce)试(shi)载(zai)荷,依(yi)据赫(he)兹(zi)接触(chu)公(gong)式计(ji)算球-盘(pan)间(jian)的赫兹(zi)接(jie)触(chu)应(ying)力,经(jing)计(ji)算(suan)载(zai)荷1和(he)4N下的
赫(he)兹接(jie)触(chu)应力(li)分(fen)别为(wei)310和(he)493MPa。试验(yan)模(mo)式为旋(xuan)转(zhuan)模式(shi),旋转半(ban)径(jing)为3mm,旋转速(su)度为20r/min(线速(su)度(du)
6.28mm/s),测试(shi)时(shi)间(jian)20min。
1.4磨损形(xing)貌(mao)分析(xi)表(biao)征(zheng)
试样(yang)表面磨痕(hen)和(he)磨(mo)球表(biao)面(mian)磨(mo)斑(ban)的(de)磨(mo)损形(xing)貌(mao)使(shi)用(yong)超(chao)景(jing)深显(xian)微镜(jing)(VHX-6000,日本)、三(san)维白(bai)光干(gan)涉形貌仪(yi)
(Nexview,美(mei)国(guo))以及(ji)聚(ju)焦(jiao)离子束扫描(miao)电(dian)镜(jing)(LYRA3,捷克(ke))进(jin)行(xing)表征;依(yi)据三维白(bai)光(guang)干涉形(xing)貌(mao)仪(yi)表征(zheng)涂层(ceng)表(biao)
面(mian)粗(cu)糙(cao)度,依(yi)据(ju)磨(mo)损形貌(mao)结(jie)果并(bing)计(ji)算样(yang)品(pin)的磨(mo)损(sun)体(ti)积及磨损(sun)率(lv)。使(shi)用扫描(miao)电镜(jing)配套的EDS能(neng)谱仪分析样(yang)品磨(mo)
损区(qu)域(yu)的元(yuan)素组(zu)成。综(zong)合分(fen)析(xi)各种(zhong)测(ce)试结果,探(tan)究(jiu)不(bu)同表(biao)面(mian)状(zhuang)态试样(yang)的减(jian)摩耐(nai)磨(mo)机理。
2、结果及(ji)分析(xi)
2.1摩擦(ca)因(yin)数(shu)
试样表(biao)面(mian)脉冲(chong)阳(yang)极(ji)氧化处(chu)理后的镀(du)层(ceng)厚(hou)度在(zai)5~6.5μm范围内。图1为(wei)使用三维白光干涉形(xing)貌(mao)仪
(Nexview,美(mei)国)测(ce)量的(de)四(si)组(zu)试样的表面(mian)三维(wei)形(xing)貌,对(dui)每(mei)个样(yang)品分(fen)别(bie)取150µm×300µm区域测(ce)试(shi)其表(biao)面粗糙度
Sa。结(jie)果表明(ming),未(wei)经过表面(mian)处(chu)理的钛(tai)合(he)金(jin)试(shi)样(yang)表(biao)面平整(zheng),表(biao)面(mian)粗糙度(du)约(yue)为(wei)0.2695µm,经脉(mai)冲阳极(ji)氧(yang)化后(hou),表
面出现(xian)较(jiao)多岛(dao)状(zhuang)凸(tu)起(qi),表(biao)面粗糙度(du)有所增加(jia),约为0.5635µm。试(shi)样经过表面涂(tu)铝(lv)或涂(tu)MoS2后(hou),
表(biao)面的(de)凸(tu)起(qi)进一步增大(da),脉冲阳极(ji)氧(yang)化和(he)涂(tu)铝(lv)复(fu)合(he)处(chu)理样品的(de)表(biao)面粗糙(cao)度(du)约(yue)为0.6933µm,脉(mai)冲(chong)阳极氧(yang)化和(he)涂
MoS2复合处(chu)理样(yang)品的表面(mian)粗(cu)糙(cao)度约(yue)为(wei)0.9515µm。

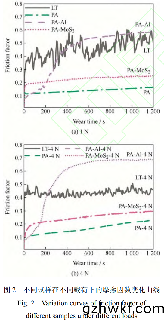
图(tu)2所示(shi)为不(bu)同表(biao)面状(zhuang)态试样在(zai)1和(he)4N载荷下的摩擦因数变(bian)化曲(qu)线。经(jing)过(guo)跑(pao)合期(qi)后(hou),样(yang)品的摩擦因数(shu)逐渐
趋于稳定,图(tu)3所示(shi)为摩(mo)擦(ca)因数趋(qu)于(yu)稳定后的平均摩(mo)擦因数。从图中可(ke)以看出,在(zai)1N载(zai)荷(he)下(xia),未(wei)经(jing)过(guo)表(biao)面(mian)处
理(LT)样品的平均(jun)摩擦因(yin)数约为0.53,且波动剧(ju)烈(lie),这主(zhu)要(yao)由(you)于(yu)经过短(duan)暂(zan)的跑合后,钛(tai)合金(jin)和(he)钛合(he)金直(zhi)接
接(jie)触(chu),容易发(fa)生黏(nian)着(zhe)磨(mo)损(sun)[27-28];经过(guo)脉冲阳极氧化(hua)处理(PA)样品的摩擦(ca)因数最低(di),约(yue)为(wei)0.16,且(qie)样(yang)品(pin)
跑合期短(duan),摩(mo)擦因(yin)数(shu)波(bo)动(dong)小(xiao),这(zhe)表(biao)明(ming)经(jing)过脉冲(chong)阳极(ji)氧(yang)化所(suo)形(xing)成(cheng)的(de)涂层具有(you)一(yi)定的(de)润滑(hua)效果(guo),同时(shi)可以(yi)有效减
少(shao)与钛合金(jin)球(qiu)发(fa)生(sheng)黏(nian)着;经过脉(mai)冲阳极氧化和涂(tu)铝(lv)复(fu)合处(chu)理(li)(PA-Al)样(yang)品的(de)摩(mo)擦因(yin)数(shu)最高,约(yue)为(wei)0.58,且跑合期(qi)最长(zhang),摩擦(ca)因(yin)数(shu)整(zheng)体(ti)波(bo)动(dong)较小(xiao),这(zhe)表明表(biao)面涂铝(lv)后(hou)样品的(de)润(run)滑(hua)性(xing)能不佳(jia),摩(mo)擦(ca)过程(cheng)中虽(sui)不(bu)易(yi)发(fa)生黏(nian)着(zhe)
,但(dan)也较难(nan)形(xing)成(cheng)有(you)效的固体润滑(hua)膜(mo),整(zheng)体(ti)摩(mo)擦(ca)因(yin)数较高(gao)。


经过脉冲阳(yang)极(ji)氧(yang)化和涂MoS2复(fu)合处理(PA-MoS2)样品的摩(mo)擦因数较(jiao)低(di),约为
0.25,摩(mo)擦(ca)因数(shu)整体波(bo)动小(xiao),跑(pao)合期(qi)短,表(biao)明样品表(biao)面(mian)可以在(zai)较短(duan)时间(jian)内形(xing)成有效的(de)固体(ti)润滑(hua)膜,这主要(yao)归
功(gong)于(yu)MoS2优异的(de)固体(ti)润滑(hua)性(xing)能,但(dan)由(you)于(yu)与(yu)脉冲阳极(ji)氧(yang)化复(fu)合处(chu)理(li)后样品(pin)的表(biao)面粗糙度较(jiao)高,样(yang)
品的(de)摩擦(ca)因(yin)数(shu)要(yao)高于(yu)单(dan)独(du)进行(xing)脉冲阳(yang)极氧化的样品。在4N载荷作(zuo)用下(xia),不同(tong)表(biao)面状(zhuang)态样(yang)品(pin)的摩擦变化(hua)趋(qu)势(shi)基(ji)
本一(yi)致(zhi),即(ji)PA样品的摩(mo)擦因数最低(di)且平(ping)稳,LT样(yang)品(pin)摩(mo)擦(ca)因数(shu)较(jiao)高(gao)且(qie)波动剧烈,PA-Al样(yang)品(pin)摩擦(ca)因数(shu)最高且(qie)跑
合(he)期长(zhang)。对(dui)比不同(tong)样(yang)品(pin)在低载(1N)和高载(zai)(4N)下(xia)的(de)摩(mo)擦(ca)因(yin)数(shu),结果表(biao)明经过(guo)表面(mian)处(chu)理(li)后(hou)样(yang)品在高(gao)载下的(de)
摩擦因数(shu)均(jun)高于(yu)低(di)载下(xia)的(de)摩(mo)擦因(yin)数(shu)。由(you)摩(mo)擦(ca)因(yin)数的(de)测(ce)试(shi)结果可(ke)以得出,从减(jian)摩(mo)角度(du)考虑(lv),PA和(he)PA-
MoS2两种表面处(chu)理(li)技术(shu)对钛(tai)合(he)金(jin)样(yang)品均(jun)有(you)明显的(de)减(jian)摩(mo)效(xiao)果,其中(zhong)以PA处(chu)理后样(yang)品的减摩(mo)效(xiao)果(guo)最(zui)佳(jia)。
2.2磨痕(hen)宏(hong)观(guan)形(xing)貌及(ji)磨(mo)损率(lv)
图(tu)4为(wei)不(bu)同试样(yang)(LT、PA、PA-Al、PA-MoS2)在1N载荷下(xia)的磨痕和(he)磨(mo)球(qiu)磨斑(ban)形(xing)貌(mao)照(zhao)片(pian)。从图
中可(ke)以看出(chu),LT样品(pin)磨(mo)痕最(zui)宽、磨(mo)痕最深,同(tong)时(shi)磨球(qiu)的磨(mo)斑(ban)也最(zui)大,磨(mo)损明显;PA样品磨(mo)痕(hen)较浅且(qie)最(zui)窄(zhai),同
时(shi)磨球(qiu)的磨斑也最(zui)小;PA-Al样品(pin)磨痕(hen)为(wei)不连续(xu)黑(hei)色(se)磨(mo)痕,磨球(qiu)磨(mo)斑较大(da);PA-MoS2样品(pin)磨(mo)痕(hen)宽
度与PA-Al样(yang)品相(xiang)近,磨(mo)痕连续,磨球磨斑较小。

图(tu)5为(wei)不同试(shi)样(LT、PA、PA-Al、PA-MoS2)在(zai)4N载(zai)荷(he)下的磨痕(hen)和(he)磨(mo)球(qiu)磨斑形貌照(zhao)片(pian)。由于(yu)
载荷(he)变(bian)大(da),因(yin)此(ci)磨损(sun)也(ye)有所(suo)加剧,各个样品(pin)的(de)磨(mo)痕均(jun)宽(kuan)于1N载荷(he)下的磨(mo)痕[29],LT样(yang)品(pin)表面有(you)着(zhe)明(ming)显的(de)犁沟(gou)
和(he)黏(nian)着(zhe)物(wu),磨(mo)痕最(zui)宽,磨斑直(zhi)径(jing)大(da)于600μm;PA样品磨(mo)痕依然(ran)是最浅(qian)且最(zui)窄的(de),同(tong)时磨(mo)球的磨斑(ban)也最小,减
磨(mo)效(xiao)果(guo)明(ming)显;PA-Al样(yang)品(pin)磨(mo)损剧(ju)烈,磨(mo)痕较(jiao)深(shen),相(xiang)比于低(di)载荷(1N)情(qing)况(kuang),黑色点状(zhuang)磨(mo)痕已连(lian)成整(zheng)体,并(bing)且
在两(liang)边堆积(ji)较(jiao)多(duo)磨(mo)屑,表明样(yang)品表面(mian)较(jiao)难形成(cheng)有(you)效(xiao)的固体(ti)润滑(hua)膜,这(zhe)与(yu)摩擦(ca)因(yin)数(shu)曲线(xian)所(suo)得(de)结果一(yi)致;PA-
MoS2样(yang)品(pin)磨损(sun)均匀,磨(mo)痕(hen)宽度较窄(zhai)但磨痕(hen)较(jiao)深,有减磨(mo)效果,但(dan)因(yin)质(zhi)地较软导(dao)致磨损(sun)明显(xian)。

采(cai)用三(san)维(wei)白光(guang)干涉(she)形貌仪测(ce)试样(yang)品磨(mo)痕截(jie)面(mian)面积(ji),每个(ge)磨(mo)痕取(qu)6个(ge)位置,计(ji)算(suan)截面(mian)面(mian)积平(ping)均(jun)值(zhi),并计算
样品(pin)的磨(mo)损体积和磨(mo)损率(lv),结果如(ru)图6所(suo)示(shi)。在低载(zai)荷(he)下(xia)(1N)PA样品(pin)的(de)磨(mo)损(sun)率(lv)最(zui)低(di),约(yue)为(wei)
5.8×10−4mm3(N·m),这(zhe)与该(gai)样品(pin)低的(de)摩(mo)擦因(yin)数和(he)短(duan)的跑(pao)合(he)期(qi)结(jie)果相(xiang)一(yi)致,表(biao)明(ming)
脉冲(chong)阳(yang)极(ji)氧(yang)化有较好的减磨效(xiao)果;PA-Al样品(pin)的(de)磨(mo)损(sun)体积与(yu)磨(mo)损率最(zui)大(da),甚(shen)至(zhi)高于(yu)LT样品(pin)的磨损率,这是由
于(yu)脉冲阳(yang)极(ji)氧(yang)化和(he)涂(tu)铝复(fu)合(he)处(chu)理样(yang)品(pin)后,样(yang)品表面难以(yi)形(xing)成(cheng)有效(xiao)的固体润滑膜(mo),因(yin)此(ci)样品磨损过(guo)程(cheng)中跑合(he)期
长(zhang)且(qie)摩(mo)擦(ca)因(yin)数(shu)高;脉(mai)冲(chong)阳(yang)极(ji)氧化和涂(tu)MoS2复(fu)合(he)处(chu)理(li)后(hou)的样品磨损(sun)率(lv)与LT样品的磨(mo)损率(lv)相近,这(zhe)
表明尽管涂(tu)覆MoS2后可(ke)用(yong)形(xing)成(cheng)良(liang)好的(de)润(run)滑(hua)膜(mo),使(shi)摩(mo)擦因数降(jiang)低(di),但表面(mian)粗(cu)糙度(du)增(zeng)大且
MoS2硬度(du)较低,易(yi)发(fa)生(sheng)材(cai)料(liao)转(zhuan)移(yi),因此(ci)磨(mo)损(sun)率比(bi)只(zhi)进(jin)行脉冲(chong)阳(yang)极(ji)氧化的(de)样(yang)品(pin)高。在高(gao)载荷下(xia)
(4N)PA样(yang)品的磨损(sun)率(lv)最(zui)低,约为5.7×10−4mm3(N·m),与(yu)低(di)载(zai)荷(he)下测(ce)得的磨(mo)损(sun)
率相(xiang)近,其(qi)余(yu)三(san)组样(yang)品(pin)的(de)磨损(sun)率均(jun)高于其(qi)对(dui)应低(di)载荷下(xia)的磨损(sun)率,其(qi)中PA-MoS2样品磨损率增加(jia)
幅(fu)度(du)最大(da),约为35.2×10−4mm3(N·m),主(zhu)要归(gui)因(yin)于所涂(tu)MoS2质地(di)较
软且表面(mian)粗糙(cao)度高,虽可以形成(cheng)润(run)滑膜降低(di)摩(mo)擦(ca)因数(shu),但在(zai)高载荷(he)下(xia)更容易被磨(mo)除(chu)。

2.3磨痕微观(guan)形(xing)貌(mao)及(ji)磨(mo)损机(ji)理(li)分析(xi)
通(tong)过(guo)SEM和配(pei)套的能谱仪对(dui)不同(tong)表(biao)面(mian)状态样品(pin)磨痕的微观形貌(mao)和(he)元素组成(cheng)进行(xing)分(fen)析表(biao)征(zheng),结(jie)果如图(tu)7所(suo)示(shi)
。对(dui)于LT样(yang)品(pin),表面(mian)磨(mo)痕最宽(kuan),磨(mo)痕(hen)区域(yu)内(nei)沿着滑(hua)动(dong)方(fang)向分(fen)布犁(li)沟,部分(fen)犁(li)沟(gou)上(shang)有突起的(de)黏(nian)着(zhe)物,在(zai)更高倍(bei)
数(shu)的(de)照(zhao)片中可以看(kan)到(dao),黏着(zhe)物(wu)上有沿着(zhe)滑动方(fang)向生(sheng)成的(de)撕裂(lie)裂(lie)纹,这(zhe)表(biao)明LT样品(pin)摩擦过(guo)程中材(cai)料的(de)主要去除
过程是(shi)表面(mian)塑(su)性变形,然(ran)后形(xing)成犁(li)沟(gou),部(bu)分接(jie)触(chu)表面(mian)在(zai)压(ya)力(li)下会形成黏着(zhe)区并在(zai)后(hou)续(xu)的滑动(dong)中(zhong)断裂,形(xing)成小(xiao)
凸(tu)起。EDS结果(guo)表明,黏着区域的元(yuan)素组成主(zhu)要以(yi)Ti元(yuan)素(su)为(wei)主(zhu),并存(cun)在(zai)Al、V、O和C元素(su)。

对(dui)于PA样(yang)品,表面(mian)形(xing)成(cheng)的(de)磨痕宽(kuan)度最(zui)窄,深度较(jiao)浅(qian),表面未(wei)形成明显(xian)犁(li)沟。高(gao)倍(bei)放(fang)大(da)图显示(shi),经(jing)过脉(mai)冲
阳(yang)极(ji)氧化(hua)后(hou),元素表(biao)面(mian)形(xing)成了较(jiao)为致密(mi)的氧化(hua)膜,组成元素(su)以(yi)Ti和(he)O为(wei)主(zhu),同时存(cun)在(zai)少量的(de)Al、C、P、Mo元
素等(deng)。结果表(biao)明,通(tong)过(guo)脉冲(chong)阳(yang)极(ji)氧(yang)化(hua)在(zai)TC4表面形(xing)成(cheng)较(jiao)为致(zhi)密的氧化(hua)膜(mo),表面(mian)硬(ying)度(du)增(zeng)加,在摩擦(ca)过(guo)程(cheng)中不(bu)易
由(you)于挤压塑(su)性变形(xing)而(er)形(xing)成(cheng)犁沟,同(tong)时所(suo)形成钛的(de)氧(yang)化物具有一定(ding)的(de)润滑(hua)作用,在(zai)材(cai)料表(biao)面形成(cheng)了固体润滑(hua)膜(mo)
,不仅(jin)使材(cai)料具(ju)有(you)低(di)的摩(mo)擦(ca)因数(shu),降低(di)了磨损(sun)率,同(tong)时(shi)可以阻隔钛合(he)金直(zhi)接(jie)接(jie)触(chu),减少黏(nian)着(zhe)的发生。
对于PA-Al样品,表面形成(cheng)的(de)磨痕(hen)宽度居(ju)中,表面(mian)未形成犁沟,但(dan)有(you)大(da)块的剥(bo)落(luo)孔(kong)洞(dong)和(he)块状(zhuang)物(wu),局部(bu)放(fang)
大图(tu)可以(yi)看到(dao)剥(bo)落处为脆性(xing)断裂,表明(ming)在(zai)脉(mai)冲(chong)阳(yang)极(ji)氧(yang)化(hua)表面(mian)进(jin)行涂(tu)铝(lv)工(gong)艺(yi)后(hou),表面(mian)有(you)脆性(xing)相生(sheng)成。EDS结果
表(biao)明(ming),样品(pin)表面存(cun)在(zai)较多(duo)的Al和O元素(su),故推测有(you)Al2O3陶瓷相(xiang)生成(cheng),导致表(biao)面(mian)易(yi)发(fa)生脆性剥(bo)落。在摩(mo)擦(ca)过程
中(zhong),样(yang)品表(biao)面(mian)由于(yu)硬(ying)度(du)增加(jia),不(bu)易生成(cheng)犁沟(gou),但(dan)表(biao)面脆性(xing)较(jiao)高(gao)易生(sheng)成(cheng)裂纹(wen),裂纹扩(kuo)展(zhan)最(zui)终(zhong)生成(cheng)剥落坑(keng),因(yin)此
样(yang)品(pin)表面较难(nan)形(xing)成(cheng)有(you)效(xiao)的(de)固(gu)体(ti)润(run)滑膜(mo),跑合(he)期长(zhang)且(qie)摩(mo)擦(ca)因(yin)数高,最(zui)终样(yang)品的磨损率较高。
对(dui)于PA-MoS2样品,表面形(xing)成的(de)磨(mo)痕宽(kuan)度比(bi)LT窄但高于(yu)PA样(yang)品(pin)。磨(mo)痕形貌(mao)较(jiao)平(ping)整(zheng),未形成明
显(xian)的犁(li)沟(gou),同(tong)时与(yu)PA-Al样品不同,磨痕(hen)中未出现剥(bo)落坑,放(fang)大图能(neng)看出(chu)表(biao)面(mian)由(you)许多(duo)不规则(ze)的块状(zhuang)物(wu)组成。
EDS结果(guo)表(biao)明,磨痕中主要元(yuan)素(su)以(yi)S和(he)Mo为主,同时(shi)检测到(dao)少(shao)量的(de)C、O和(he)Si元(yuan)素(su)。
综合(he)以(yi)上分(fen)析,总(zong)结(jie)了(le)不(bu)同表(biao)面(mian)状(zhuang)态TC4钛合(he)金与(yu)TC4摩擦时(shi)的(de)磨损机理,如图8所示。未(wei)经(jing)过(guo)表面(mian)处理(li)
(LT)的(de)钛(tai)合(he)金样(yang)品(pin)由于表(biao)面(mian)硬度(du)低(di)且(qie)易与同种材(cai)料(liao)的(de)TC4发生黏(nian)着,因(yin)此(ci)磨损(sun)较为(wei)剧烈,摩擦因数的(de)宽(kuan)幅
上下(xia)波(bo)动(dong)和磨(mo)痕(hen)中(zhong)的(de)凸起黏着(zhe)转(zhuan)移物(wu)均表(biao)明(ming)在(zai)摩(mo)擦(ca)过(guo)程(cheng)中(zhong),对磨副(fu)表(biao)面发(fa)生(sheng)了(le)严(yan)重的黏着(zhe),其(qi)磨损(sun)机(ji)理(li)如(ru)图
8a所示(shi)。在轴向压(ya)力(li)和(he)摩(mo)擦(ca)热作(zuo)用(yong)下(xia),TC4球和TC4盘(pan)之(zhi)间发(fa)生塑(su)性(xing)变形,随(sui)后发生(sheng)黏着,因(yin)此在(zai)这(zhe)种(zhong)表(biao)面(mian)状(zhuang)
态下(xia),主(zhu)要(yao)磨(mo)损(sun)机理(li)为犁(li)削和黏(nian)着(zhe)磨(mo)损;样品表面(mian)经过脉(mai)冲(chong)阳(yang)极(ji)氧(yang)化(hua)处(chu)理(PA)后(hou),表(biao)面生成(cheng)较(jiao)为(wei)致(zhi)密(mi)的
TiO2涂层(ceng),硬(ying)度提高(gao),减摩性(xing)好(hao),同(tong)时(shi)与(yu)基体(ti)具有(you)较高的(de)结合强度(du),因此(ci)大幅(fu)提高(gao)材料的耐(nai)磨性能(neng)[30],磨(mo)
损率(lv)和摩擦(ca)因数最(zui)低(di)。同时(shi),由(you)于表面(mian)氧(yang)化膜(mo)的存在,样(yang)品表面不易产(chan)生(sheng)塑(su)性变形(xing),也(ye)不(bu)易(yi)和TC4球之(zhi)间形(xing)
成扩散(san),因此不(bu)易发生黏着(zhe),如图8b所示(shi);经过脉冲(chong)阳极(ji)氧化(hua)和(he)涂铝复(fu)合(he)处理(PA-Al)后,样品(pin)表面会部
分(fen)生(sheng)成(cheng)Al2O3,Al2O3具(ju)有(you)更高(gao)硬度(du),但韧(ren)性(xing)较(jiao)差(cha),摩(mo)擦过
程(cheng)中容(rong)易发生(sheng)脆(cui)裂,最(zui)终导致表(biao)面(mian)形(xing)成(cheng)剥落坑[31],因(yin)此样(yang)品的(de)跑合期长且摩擦(ca)因数(shu)高,而(er)剥落(luo)的(de)硬质(zhi)磨(mo)屑(xie)
又会加(jia)剧样品的(de)磨(mo)损(sun),造成(cheng)样品(pin)较(jiao)高的(de)磨损(sun)率(lv),磨(mo)损(sun)机理(li)主要(yao)表现为剥落(luo)和磨(mo)粒(li)磨损,其机(ji)理(li)如图8c所示(shi);
经(jing)过(guo)脉(mai)冲(chong)阳极氧(yang)化(hua)和(he)涂覆(fu)MoS2复合(he)处(chu)理(PA-MoS2)后(hou)样(yang)品(pin)表面(mian)存(cun)在(zai)较多的(de)
MoS2,在摩(mo)擦过程中,经(jing)过(guo)跑合期(qi)后会在(zai)表(biao)面生(sheng)成(cheng)润(run)滑膜,因(yin)此(ci)样品表面(mian)具(ju)有较(jiao)低的(de)摩(mo)擦(ca)因数(shu)
,但(dan)由(you)于MoS2易(yi)发生转移(yi),因(yin)此(ci)样品的磨损率(lv)相(xiang)对(dui)较高(gao),其机(ji)理如(ru)图8d所(suo)示。

3、结论
TC4样品经过不(bu)同(tong)表(biao)面(mian)处理后其(qi)摩擦(ca)磨损性(xing)能差(cha)异(yi)明(ming)显(xian)。未经过表(biao)面处(chu)理(li)的(de)钛合(he)金样品(pin)在(zai)摩擦磨(mo)损(sun)过(guo)程(cheng)
中表(biao)面易发(fa)生(sheng)黏着(zhe)磨(mo)损,摩(mo)擦因数高(gao)且不稳(wen)定(ding),约(yue)为0.53,这(zhe)也说(shuo)明未经过表面处理(li)的(de)钛(tai)合(he)金紧固(gu)件发生“
咬(yao)死”现(xian)象(xiang)的主(zhu)要(yao)原(yuan)因是其易(yi)与工件发生黏(nian)着(zhe)。经过(guo)脉冲(chong)阳(yang)极(ji)氧化(hua)处(chu)理(PA)后样(yang)品(pin)表面会生(sheng)成(cheng)TiO2氧化层
,减摩(摩(mo)擦(ca)因数约为0.16)和(he)耐(nai)磨(mo)特(te)性(磨(mo)损率(lv)5.8×10−4mm3(N·m))最(zui)佳(jia),
高载(zai)下依(yi)然稳(wen)定(ding)(摩擦(ca)因数(shu)约为0.22、磨损(sun)率5.7×10−4mm3(N·m)),且(qie)有(you)明(ming)显
的抗黏(nian)着效(xiao)果。经过脉(mai)冲(chong)阳极(ji)氧(yang)化和(he)涂(tu)铝复合处理(li)(PA-Al)的样品(pin)并(bing)未(wei)展(zhan)现减(jian)摩(mo)耐磨(mo)特(te)性(xing),磨痕表面有大
块的(de)剥落孔(kong)洞和(he)块(kuai)状(zhuang)物,摩擦(ca)因(yin)数(shu)和(he)磨损(sun)率较未(wei)处理样(yang)品(pin)均有增(zeng)高。经过(guo)脉(mai)冲(chong)阳(yang)极氧化(hua)和(he)涂(tu)
MoS2复合(he)处(chu)理(PA-MoS2)的(de)样(yang)品表面未发现磨(mo)粒磨损和黏(nian)着磨(mo)损,样品(pin)表(biao)现出一
定的减摩(mo)(摩(mo)擦(ca)因数(shu)约(yue)为0.25)效(xiao)果,但耐(nai)磨性(磨损(sun)率9.8×10−4mm3(N·m))
较差,且(qie)在(zai)高(gao)载下磨损率(lv)有较大幅度升(sheng)高(磨损率(lv)35.2×10−4mm3(N·m))。
参考(kao)文献(xian)
[1] 李蒙,凤伟(wei)中,关(guan)蕾,等. 航空(kong)航(hang)天紧(jin)固(gu)件用(yong)钛合金材 料(liao)综(zong)述(shu)[J]. 有(you)色金属(shu)材料(liao)与(yu)工(gong)程(cheng),2018,
39(4):49-53.
LI Meng, FENG Weizhong, GUAN Lei, et al. Summary of titanium alloy for fastener in
aerospace[J]. Nonferrous Metal Materials and Engineering, 2018, 39(4): 49-53. (in Chinese)
[2] 于建政,宁(ning)广西,林(lin)忠(zhong)亮,等. 航空工(gong)业(ye)钛合金(jin)紧(jin)固件 失(shi)效分(fen)析研(yan)究进展[J]. 材(cai)料导(dao)报,2013,
27(z1):256-258,264.
YU Jianzheng, NING Guangxi, LI Zhongliang, et al. Failure analysis progress of titanium
alloy fastener used in aerospace industry[J]. Materials Reports, 2013, 27(z1): 256-258, 264.
(in Chinese)
[3] JHA A K, SINGH S K, KIRANMAYEE M S, et al. Failure analysis of titanium alloy
(Ti6Al4V) fastener used in aerospace application[J]. Engineering Failure Analysis, 2010, 17
(6): 1457-1465.
[4] 李新(xin)星,施剑峰,王(wang)红(hong)侠,等. Ti6Al4V 合(he)金(jin)干(gan)滑动磨(mo) 损(sun)过(guo)程中(zhong)摩(mo)擦(ca)层及摩(mo)擦氧(yang)化(hua)物(wu)的(de)作用[J].
表面技术(shu),2019,48(12):233-239.
LI Xinxing, SHI Jianfeng, WANG Hongxia, et al. Role of tribo-layers and tribo-oxides in
dry sliding wear process of Ti6Al4V alloy[J]. Surface Technology, 2019, 48(12): 233-239. (in
Chinese)
[5] 刘雨(yu)薇(wei),吴霞(xia),陈纪(ji)云,等(deng). 钛(tai)合金(jin)摩擦(ca)磨(mo)损性(xing)能(neng)及减(jian) 磨方(fang)法研(yan)究进(jin)展(zhan)[J / OL]. 表(biao)面(mian)技术(shu),
2024,53(12):1-21[2024-05-29]. https://kns.cnki.net/kcms2/article/abstract?v=acR2UJ02Y
hTkNLsi百度ZEpO5X6yk57ujmpDKWQL94QO79QobyP 2-KKQv7Sfy9LwUlq_uyIcP4_jwCX2G-b2Vsw3HlKbsS_
S1ukFZVjPRMkupDdYumufkV0h3_824NpusUB78uqO0S6qqEf0FFh8YxmE7Ud6pUcJdCerVarMpbj7eLSPVgp
KS6YQaqeMtgHxS&uniplatform=NZKPT&language=C HS. DOI:10.16490/j.cnki.issn.1001-
3660.2024.12.001.
LIU Yuwei, WU Xia, CHEN Jiyun, et al. Research progress on friction and wear properties of
titanium alloys and wear reduction methods[J/OL]. Surface Technology, 2024, 53(12): 1-21[2024
-05-29]. https://kns.cnki.net/ kcms2/article/abstract?v=acR2UJ02YhTkNLsi百度ZEpO5
X6yk57ujmpDKWQL94QO79QobyP2-KKQv7Sfy9LwUl q_uyIcP4_jwCX2G-b2Vsw3HlKbsS_S1ukFZVjPRMkup
DdYumufkV0h3_824NpusUB78uqO-0S6qqEf0FFh8Yxm E7Ud6pUcJdCerVarMpbj7eLSPVgpKS6YQaqeMtgHxS
&uniplatform=NZKPT&language=CHS. DOI:10.16490/j. cnki.issn.1001-3660.2024.12.001. (in
Chinese)
[6] 吴(wu)彼(bi),高禩洋,薛(xue)伟(wei)海(hai),等(deng). 钛合金表(biao)面 TiB2 涂层(ceng)与(yu) 纯铝(lv)的高温黏(nian)着(zhe)磨损行(xing)为[J]. 中国表面(mian)工(gong)
程(cheng),2022,35(3):64-72.
WU Bi, GAO Siyang, XU Weihai, et al. High-temperature adhesive wear behavior between TiB2
coating on TC4 substrate and pure Al[J]. China Surface Engineering, 2022, 35(3): 64-72. (in
Chinese)
[7] 付(fu)颖,张艳,包星宇,等(deng). 钛(tai)合金表(biao)面(mian)耐磨(mo)涂(tu)层(ceng)研(yan)究(jiu)进 展(zhan)[J]. 中(zhong)国(guo)腐蚀与防护学(xue)报,2018,38
(2):117-123.
FU Ying, ZHANG Yan, BAO Xinyu, et al. Research progress on wear-resistant coatings for
Ti-alloy[J]. Journal of Chinese Society for Corrosion and Protection, 2018, 38(2): 117-123.
(in Chinese)
[8] 胡(hu)鹏飞. 钛(tai)合金(jin)紧固(gu)件(jian)蓝色阳(yang)极(ji)氧化影(ying)响(xiang)因素(su)分(fen)析与 优化[J]. 热加工(gong)工艺(yi),2021,50(12):102
-103,108.
HU Pengfei. Influencing factors analysis and optimization of blue anodizing for titanium
alloy fastener[J]. Hot Working Technology, 2021, 50(12): 102-103, 108. (in Chinese)
[9] DIAMANTI M V, SEBASTIANI M, MANGIONE V, et al. Multi-step anodizing on Ti6Al4V
components to improve tribomechanical performances[J]. Surface and Coatings Technology, 2013,
227(25): 19-27.
[10] WILSON J C A, WU S J, GOTMAN I, et al. Duplex coatings with enhanced adhesion to Ti
alloy substrate prepared by powder immersion nitriding and TiN / Ti multilayer deposition[J].
Materials Letters, 2015, 157(15): 45-49.
[11] ASKARI S J. Tribological characteristics of nanocrystalline diamond films grown on
titanium[J]. Surface Engineering, 2009, 25(6): 482-486.
[12] GRABARCZYK J, BATORY D, KACZOROWSKI W, et al. Comparison of different thermo-chemical
treatments methods of Ti-6Al-4V alloy in terms of tribological and corrosion properties[J].
Materials, 2020, 13(22): 5192.
[13] 于坤,祁(qi)文(wen)军(jun),雷靖峰(feng). 钛合(he)金(jin)表(biao)面再(zai)制造(zao)涂层(ceng)的(de)研究(jiu)综(zong)述(shu)[J]. 热(re)加(jia)工(gong)工艺(yi),2020,49(12):6
-9.
YU Kun, QI Wenjun, LEI Jingfeng. Review of research on remanufacturing coatings on
titanium alloy surface[J]. Hot Working Technology, 2020, 49(12): 6-9. (in Chinese)
[14] ZHAO L, LUGSCHEIDER E. Reactive plasma spraying of TiAl6V4 alloy[J]. Wear, 2002, 253
(11-12): 1214-1218.
[15] 徐(xu)倩(qian),刘艳,丁(ding)涛(tao). 钛合金表面激(ji)光熔(rong)覆耐(nai)磨(mo)涂层(ceng)材料(liao) 的(de)研究(jiu)进展[J]. 热(re)加(jia)工工(gong)艺(yi),2023,52
(14):24-29.
XU Qian, LIU Yan, DING Tao. Research progress of laser cladding wear resistant coating
materials on titanium alloy surface[J]. Hot Working Technology, 2023, 52(14): 24-29. (in
Chinese)
[16] 杨立军,文品,石丹玉,等. 钛(tai)基表(biao)面 CNTs / Ti 激光 熔(rong)覆(fu)层(ceng)的摩擦(ca)磨(mo)损研(yan)究(jiu)[J]. 功能(neng)材(cai)料(liao),
2021,52(6):6133-6137.
YANG Lijun, WEN Pin, SHI Danyu, et al. Friction and wear of CNTs / Ti laser cladding layer
on titanium substrate[J]. Journal of Functional Materials, 2021, 52(6): 6133-6137. (in
Chinese)
[17] WU L, WEN C, ZHANG G, et al. Influence of anodizing time on morphology, structure and
tribological properties of composite anodic films on titanium alloy[J]. Vacuum, 2017, 140:
176-184.
[18] WU L, LIU J H, WU G L, et al. Growth behaviour of anodic oxide film on titanium
alloy[J]. Surface Engineering, 2015, 31(12): 904-911.
[19] 冯(feng)慧峤,张(zhang)旭,师玉(yu)英(ying),等(deng). Ti-6Al-4V 钛(tai)合(he)金(jin)脉冲阳(yang)极(ji) 氧化工(gong)艺(yi)[J]. 电(dian)镀与环(huan)保(bao),2016,36
(5):40-42.
FENG Huiqiao, ZHANG Xu, SHI Yuying, et al. Pulsed anodizing process of TI-6Al-4V titanium
alloy[J]. Electroplating & Pollution Control, 2016, 36(5): 40-42. (in Chinese)
[20] ALIOFKHAZRAEI M, ROUHAGHDAM A S, SHAHRABI T. Abrasive wear behaviour of Si3N4 /
TiO2nanocomposite coatings fabricated by plasma electrolytic oxidation[J]. Surface Coatings
Technology, 2010, 205: 41-61.
[21] 李(li)锡刚. 钛合金(jin)涂(tu)敷二(er)硫(liu)化钼膜工艺[J]. 电(dian)镀与(yu)涂饰(shi),2009,28(5):60-62.
LI Xigang. Process of coating MoS2 film on titanium alloys[J]. Electroplating
& Finishing, 2009, 28(5): 60-62. (in Chinese)
[22] 卢(lu)金(jin)德(de),韦(wei)春贝,林松(song)盛,等. 磁控(kong)溅(jian)射(she) NiCrAlY / MoS2复合薄膜(mo)结构与性(xing)能研究(jiu)
[J]. 表(biao)面技术,2021,50(5):198-207.
LU Jinde, WEI Chunbei, LIN Songsheng, et al. Structure and properties of NiCrAlY /
MoS2 composite films fabricated by magnetron sputtering[J]. Surface Technology,
2021, 50(5): 198-207. (in Chinese)
[23] 徐进(jin),朱旻昊,陈(chen)建(jian)敏(min),等(deng). 制备工艺对(dui) MoS2粘(zhan)结(jie)固(gu) 体(ti)润(run)滑(hua)涂层微动磨损寿命(ming)的影(ying)
响(xiang)[J]. 摩擦学(xue)学报,2003,23(2):95-98.
XU Jin, ZHU Minhao, CHEN Jianmin, et al. The influence of preparation processes on
fretting wear life of MoS2 bonded solid lubricating coating[J]. Tribology, 2003,
23(2): 95-98. (in Chinese)
[24] MU M, LIANG J, ZHOU X, et al. One-step preparation of TiO2 / MoS2 composite coating on Ti6Al4V alloy by plasma electrolytic oxidation and its tribological
properties[J]. Surface and Coatings Technology, 2013, 214: 124-130.
[25] SONG W, AN L, LU Y, et al. Friction behavior of TiN-MoS2 / PTFE composite
coatings in dry sliding against SiC[J]. Ceramics International, 2021, 47(17): 24003-24011.
[26] 徐(xu)良. 航空钛(tai)合(he)金(jin)紧(jin)固(gu)件铝涂层性(xing)能(neng)规范研(yan)究(jiu)[J]. 航 空标准化与(yu)质(zhi)量,2012(1):32-36.
XU Liang. The specification of aluminum pigmented coating for aerospace titanium alloy
fasteners[J]. Aeronautic Standardization & Quality, 2012(1): 32-36. (in Chinese)
[27] 应扬(yang),杜(du)宇,李婷,等(deng). 摩(mo)擦配(pei)副和(he)摩(mo)擦参数对(dui) TC29钛(tai)合金摩(mo)擦(ca)磨损(sun)性(xing)能(neng)的影(ying)响(xiang)[J]. 有(you)色金(jin)属
材料与(yu)工(gong)程,2021,42(3):30-34.
YING Yang, DU Yu, LI Ting, et al. Effect of friction pairs and friction parameters on
friction and wear properties of TC29 titanium alloy[J]. Nonferrous Metal Materials and
Engineering, 2021, 42(3): 30-34. (in Chinese)
[28] 李朝志,付(fu)彬国,刘(liu)金海,等. 钛(tai)合(he)金干滑(hua)动摩(mo)擦(ca)行(xing)为(wei) 与(yu)磨(mo)损(sun)机理研究进(jin)展[J]. 材(cai)料(liao)导(dao)报,
2018,32(z1):410-414.
LI Chaozhi, FU Binguo, LIU Jinhai, et al. Research progress of wear behaviors and
mechanism of titanium alloys under dry sliding condition[J]. Materials Reports, 2018, 32(z1):
410-414. (in Chinese)
[29] 董思成(cheng),钟(zhong)利,但敏,等(deng). 不同(tong)载(zai)荷(he)及(ji)转(zhuan)速(su)条件下 MoS2涂层的(de)摩擦磨(mo)损性能(neng)研究(jiu)
[J]. 核聚变与(yu)等(deng)离子(zi)体物(wu)理(li),2023,43(1):99-104.
DONG Sicheng, ZHONG Li, DAN Min, et al. Study on the frictional wear performance of
MoS2 coatings under different load and speed conditions[J]. Nuclear Fusion and
Plasma Physics, 2023, 43(1): 99-104. (in Chinese)
[30] LI W, KONG D. Effects of TiO2 mass fraction on friction reduction and wear resistance
of laser-cladded CrNi alloy coating[J]. Journal of Materials Engineering and Performance,
2021, 30(3): 2280-2290.
[31] 宋(song)洪(hong)源,乌日开西(xi)·艾依提(ti),尹瀛(ying)月(yue). 等(deng)离子(zi)喷涂 Al2O3涂(tu)层(ceng)质量的研(yan)究现(xian)状[J]. 热(re)加工工(gong)艺(yi),
2017,46(12): 44-47.
SONG Hongyuan, WURIKAIXI Aiyiti, YIN Yingyue. Research status of quality of plasma sprayed
Al2O3 coating[J]. Hot Working Technology, 2017, 46(12): 44-47. (in Chinese)
作(zuo)者(zhe)简介(jie):任小(xiao)勇(yong),男,1992 年(nian)出生,工(gong)学博(bo)士,副教(jiao)授,硕士(shi)研究(jiu)生导(dao)师。主要(yao)研究(jiu)方(fang)向为机械(xie)装(zhuang)
备(bei)耐磨防(fang)护(hu)。 E-mail: xiaoyong_ren@http://www.gzhwkf.com
程洁(通信(xin)作者(zhe)),女(nv),1990 年(nian)出(chu)生(sheng),工学(xue)博士,教(jiao)授(shou),博士研究(jiu)生(sheng)导师(shi)。主(zhu)要(yao)研(yan)究方向为电(dian)子(zi)制(zhi)造(zao)
摩(mo)擦(ca)学(xue)。 E-mail: jiecheng@http://www.gzhwkf.com
相(xiang)关(guan)链接