- 2023-08-09 10:56:54 凯(kai)泽金属(shu)定(ding)制航(hang)空电(dian)子(zi)工业(ye)用钛(tai)丝 钛法(fa)兰(lan) 钛合金锻件 规格齐(qi)全(quan) 厂(chang)家直(zhi)供
- 2023-08-04 15:39:11 定制(zhi)航(hang)空石(shi)油(you)用TC4钛(tai)锻件(jian) TC11钛(tai)锻(duan)件(jian) 钛合(he)金锻(duan)件 库(ku)存充(chong)足 现(xian)货直(zhi)供(gong)
- 2023-07-18 11:16:29 定制航空海(hai)洋用(yong)纯钛丝 钛(tai)法兰 钛(tai)合(he)金(jin)锻(duan)件 规(gui)格(ge)齐(qi)全 厂家(jia)直供
- 2023-05-06 09:22:23 钛合金(jin)锻(duan)件3D打(da)印(yin)技术的应用(yong)及(ji)研究现(xian)状(zhuang)
- 2023-04-25 21:35:09 现货(huo)供(gong)应TC4钛(tai)锻(duan)件 TC11钛锻(duan)件 钛(tai)合金(jin)锻(duan)件(jian) 规格(ge)齐(qi)全(quan) 厂家直(zhi)供(gong)
- 2023-04-25 14:36:53 提(ti)升(sheng)航空用(yong)TC4钛合金锻(duan)件质量的(de)工(gong)艺参(can)数(shu)与(yu)服(fu)役(yi)寿命(ming)的(de)方法(fa)
- 2023-04-12 11:20:05 凯(kai)泽金(jin)属定制(zhi)高纯(chun)钛靶材 钛(tai)块(kuai) 钛(tai)合金(jin)锻(duan)件 材质(zhi)保证(zheng)
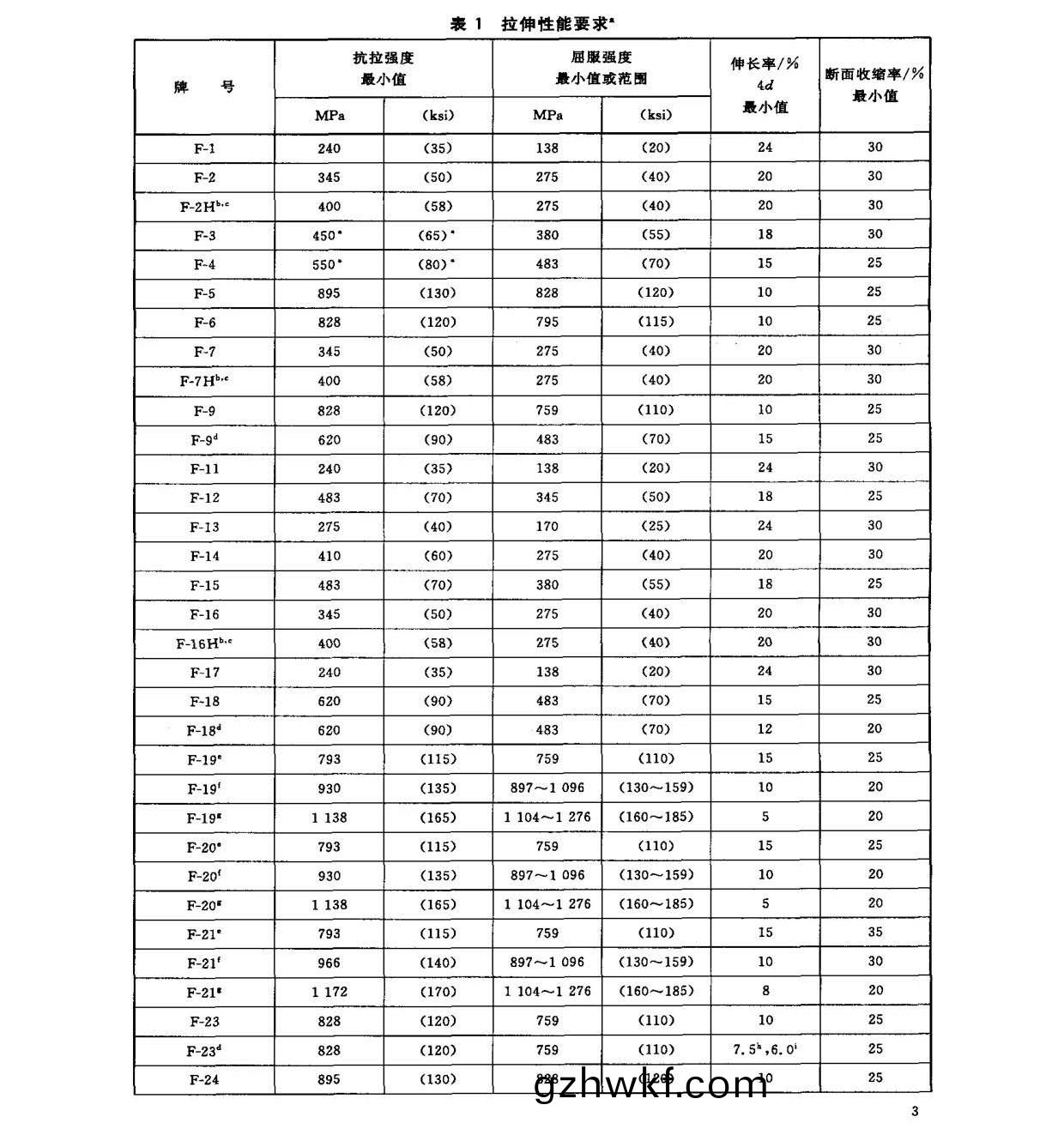
- 2023-03-18 12:36:14 航(hang)空(kong)用(yong)钛及(ji)钛合(he)金(jin)锻件(jian)规(gui)范GJB 2744A-2007
- 2023-03-04 12:18:51 凯(kai)泽金属定(ding)制航(hang)空(kong)用TC4钛锻件 TC11钛(tai)锻件(jian) 钛合(he)金锻件(jian) 材(cai)质(zhi)保(bao)证(zheng) 厂家直供(gong)
- 2023-02-26 11:46:08 钛(tai)合(he)金锻(duan)件锻造(zao)的(de)相(xiang)关术(shu)语介(jie)绍



















