- 2024-04-22 22:40:21 TC4钛合(he)金材(cai)料的耐蚀性能和蠕(ru)变性(xing)能(neng)
- 2023-09-17 17:44:13 TC4钛合金(jin)材(cai)料加(jia)工(gong)中铣(xi)削(xue)参数对(dui)表(biao)面粗(cu)糙度(du)的(de)影响(xiang)
- 2020-03-11 10:39:43 TC4钛(tai)合金材料(liao)的热(re)变形(xing)行为(wei)简介(jie)
热(re)门搜索(suo)词(ci): 钛靶(ba) 铬靶 锆(gao)靶(ba) 镍(nie)靶 钛丝(si) 钛锻件 钛法(fa)兰 钛(tai)块(kuai) 钛(tai)加工件
引(yin)言
钛(tai)合(he)金作为(wei)一种(zhong)具有比(bi)强(qiang)度(du)、比(bi)刚度(du)高,耐热(re)性(xing)好(hao)的金(jin)属材料(liao),并(bing)且(qie)其抗疲劳(lao)、抗腐(fu)蚀(shi)能力出众,工(gong)作温度(du)范(fan)围(wei)宽(kuan),在(zai)航空航(hang)天(tian)、医疗、船舶(bo)、军工(gong)等领(ling)域(yu)得(de)到广泛关注(zhu)与应用[1,2]。然(ran)而,从(cong)加(jia)工(gong)制造角度(du)来(lai)看(kan),钛合金具有导(dao)热系数(shu)小(xiao)、比(bi)热小、弹(dan)性(xing)模(mo)量(liang)低(di)、化(hua)学(xue)活(huo)性(xing)很(hen)强(qiang)等(deng)特(te)点(dian),因此,其(qi)加工困(kun)难,从(cong)而(er)使其(qi)成(cheng)为国(guo)内外(wai)学(xue)者(zhe)研(yan)究(jiu)的(de)热点(dian)。解(jie)决(jue)钛(tai)合(he)金(jin)加工(gong)中(zhong)的上(shang)述问题,关键(jian)在(zai)于研(yan)究钛(tai)合(he)金(jin)的切削机(ji)理(li)以及(ji)切削(xue)参数的(de)合理(li)选择[3]。铣(xi)削力(li)和(he)材料(liao)去除率(lv)是材料铣削(xue)加(jia)工(gong)过程中重(zhong)要的物(wu)理量,对(dui)加(jia)工(gong)零件(jian)的加工(gong)效(xiao)率(lv)、加工质量(liang)及加(jia)工(gong)能(neng)耗(hao)产(chan)生(sheng)很大的影(ying)响。于(yu)是,以最(zui)小(xiao)铣削(xue)力、最(zui)大(da)材料去(qu)除率(lv)为目(mu)标,进行(xing)参数的合(he)理(li)选择(ze)。然(ran)而,材料(liao)去(qu)除率与铣削(xue)力互相(xiang)矛(mao)盾,一(yi)方最(zui)优将(jiang)会导致另一(yi)方做出(chu)妥协,为(wei)解(jie)决(jue)这一问题,需进行(xing)多(duo)目(mu)标(biao)优化(hua),以(yi)获(huo)得(de)目标(biao)函(han)数的(de)最佳(jia)适(shi)应(ying)值[4]。目(mu)前(qian),国内(nei)外(wai)众多(duo)学(xue)者(zhe)对钛(tai)合(he)金材(cai)料进(jin)行了一(yi)系(xi)列(lie)研(yan)究(jiu)。Zhu等(deng)[5]针(zhen)对(dui)小型CBN磨头(tou)磨(mo)削钛(tai)合(he)金(jin)建(jian)立了磨(mo)削力(li)数(shu)值预(yu)测模(mo)型,以便对工艺参数进行(xing)优化。Wu等(deng)[6]以航(hang)空(kong)发(fa)动(dong)机TC4钛合(he)金(jin)整(zheng)体(ti)叶盘叶(ye)片(pian)为(wei)研(yan)究(jiu)对(dui)象,研(yan)究(jiu)了整体叶(ye)盘(pan)叶(ye)片表面波(bo)纹度的形成(cheng)机(ji)理(li)和优化(hua)方(fang)法。Shen等(deng)[7]对(dui)钛(tai)合金(jin)表(biao)面变(bian)质(zhi)层进(jin)行铣削(xue)研究,分(fen)析了(le)表面(mian)变质层的(de)形(xing)成(cheng)机理(li),得出了(le)各参数对(dui)表(biao)面粗糙(cao)度(du)和(he)残(can)余应(ying)力的(de)影(ying)响规(gui)律(lv),并(bing)建立了(le)预测(ce)模(mo)型。根据(ju)TC4高(gao)速(su)切削中铣(xi)削力的方差(cha)分析和回(hui)归模型,Ngoc等[8]指出(chu)进给(gei)速(su)度(du)和轴(zhou)向切深(shen)是(shi)影响铣(xi)削力(li)的最重(zhong)要(yao)因(yin)素。基(ji)于Box-Behnken设计实验,Karkalos等(deng)[9]指出进(jin)给(gei)速度(du)对表面(mian)粗(cu)糙(cao)度的影响(xiang)起着(zhe)主导作用(yong)。近年来(lai),切削参(can)数优(you)化受(shou)到了广(guang)泛(fan)的关(guan)注并被(bei)大(da)量研(yan)究。易茜等(deng)[10]利用多(duo)目(mu)标(biao)水(shui)循(xun)环算(suan)法实(shi)现加(jia)工变形和(he)加(jia)工(gong)效率(lv)的调节(jie)最(zui)优(you)。Monir等(deng)[11]基于回归和(he)遗传(chuan)算法(fa)对126BHN低(di)合(he)金钢进(jin)行(xing)切削参(can)数(shu)优(you)化,得到(dao)最佳(jia)表(biao)面粗(cu)糙度(du)。Ven‐katesh等(deng)[12]利(li)用响(xiang)应面(mian)法设(she)计(ji)实验(yan)建立(li)目标(biao)函(han)数(shu),采用遗(yi)传算法、模(mo)拟(ni)退(tui)火(huo)算(suan)法(fa)和神经(jing)网(wang)络算法进(jin)行优(you)化,对预测值(zhi)进行(xing)分析(xi)比(bi)较,得到最(zui)优(you)值。
Ojordje等[13]基于遗传算法(fa)对(dui)AISI1040钢进行干(gan)式(shi)车(che)削,以最小(xiao)化表(biao)面磨损(sun)、最(zui)小化(hua)表面粗糙(cao)度(du)和最大(da)化材料(liao)去(qu)除(chu)率(lv)为(wei)目(mu)标,进行多(duo)目(mu)标优(you)化(hua),通过改(gai)变(bian)遗传算法(fa)的参(can)数(shu)来(lai)获(huo)得目(mu)标(biao)函(han)数(shu)的(de)最(zui)优值(zhi)。本文以(yi)铣削参数(铣(xi)削速(su)度(du)vc、每齿进给(gei)量fz、铣削(xue)深度ap和铣削(xue)宽度ae)为变量,选用L16(45)正交表,设(she)计四因素(su)四(si)水(shui)平(ping)正交(jiao)实(shi)验。基(ji)于(yu)极差分(fen)析(xi),找出铣削参(can)数对(dui)铣削(xue)力和(he)材料去(qu)除率的影(ying)响规律(lv)。以(yi)最(zui)小(xiao)铣削力、最(zui)大(da)材(cai)料(liao)去除(chu)率(lv)为(wei)目(mu)标,分(fen)别(bie)以灰(hui)色关(guan)联(lian)分析法(GRA)和粒(li)子(zi)群(qun)优(you)化(PSO)算法(fa)进行(xing)参数优化,对比分析得到(dao)最优值。在(zai)PSO优(you)化前,基(ji)于(yu)回归(gui)分(fen)析(xi)建(jian)立(li)铣削(xue)力(li)与铣削参数(shu)的二(er)阶多(duo)项式数(shu)学(xue)模(mo)型,为(wei)PSO优(you)化(hua)模型(xing)做(zuo)准备(bei)。最(zui)后,对优化(hua)结(jie)果(guo)进(jin)行实(shi)验验证与比(bi)较(jiao),选择(ze)最佳优(you)化(hua)方(fang)法(fa)。
1、实验(yan)条件(jian)和(he)方(fang)法
1.1 实(shi)验条件
实(shi)验以(yi)钛(tai)合(he)金(jin)Ti-6Al-4V(TC4)薄(bao)壁件为(wei)研(yan)究(jiu)对象(xiang),其(qi)中薄壁(bi)件大(da)小(xiao)为(wei)50mm×50mm×5mm,钛(tai)合(he)金(jin)的化(hua)学(xue)成(cheng)分(fen)如(ru)表1所示。通(tong)过专用(yong)夹具,把(ba)工(gong)件(jian)的(de)一端(duan)固(gu)定在工(gong)作(zuo)台(tai),刀具(ju)按(an)照预先(xian)设定(ding)的(de)参(can)数在(zai)工(gong)件的(de)另一(yi)端运(yun)行加工(gong)。

铣削实验(yan)现场如图1所示。实(shi)验(yan)设备(bei)采用(yong)大(da)连(lian)三垒(lei)SVW80C-3D增(zeng)减材复合(he)五轴(zhou)加工中(zhong)心,加(jia)工刀具选(xuan)择(ze)YG8-4B-R3.0四刃(ren)硬质(zhi)合金(jin)球头铣(xi)刀(dao),加工(gong)过(guo)程产(chan)生的(de)铣(xi)削力由(you)Kistler三(san)向(xiang)铣(xi)削(xue)测力仪(yi)进行(xing)采集。

1.2 实(shi)验方(fang)法
为(wei)探究(jiu)铣削加工参数对铣削力(li)以(yi)及(ji)材料(liao)去(qu)除(chu)率的影响规(gui)律(lv)并寻求(qiu)最(zui)佳参数组(zu)合(he),基(ji)于(yu)正交(jiao)实验(yan)方法(fa)设计(ji)实(shi)验(yan),加工方(fang)式采用(yong)侧(ce)铣(顺铣(xi))、干润(run)滑(hua)。本实验选用L16(45)正(zheng)交(jiao)表(biao),设计(ji)四因(yin)素(su)四水(shui)平正(zheng)交(jiao)实(shi)验,铣削(xue)加(jia)工参(can)数(shu)分别为:铣(xi)削(xue)速度(du)vc(mmin)、每(mei)齿(chi)进(jin)给量(liang)fz(mmz)、铣削(xue)深度(du)ap(mm)和(he)铣(xi)削宽(kuan)度(du)ae(mm)。
表2为(wei)实(shi)验(yan)因素(su)水平。

2、实验结果及(ji)讨(tao)论(lun)
2.1 数(shu)据处(chu)理
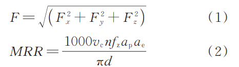
为了得到(dao)科学(xue)观(guan)测值(zhi),在(zai)测(ce)力(li)仪(yi)采(cai)集的(de)数据中(zhong),取(qu)相(xiang)对(dui)平(ping)缓稳定(ding)位置(zhi)数据(ju)的均(jun)值分别(bie)作(zuo)为X、Y和(he)Z方向的(de)铣(xi)削(xue)力(li)数值。根据式(1)和(2)分(fen)别(bie)求(qiu)出(chu)合(he)力(li)F和(he)材料去(qu)除率(lv)MRR。得到(dao)最终实(shi)验结果(guo),如(ru)表(biao)3所(suo)示。


式中:Fx为x方(fang)向的铣削(xue)分(fen)力(li);Fy为(wei)y方向的铣(xi)削(xue)分力(li);Fz为(wei)z方(fang)向(xiang)的(de)铣(xi)削(xue)分(fen)力;d为铣(xi)刀直径(jing),本实(shi)验d取(qu)6mm;n为铣刀(dao)刃数,本(ben)实(shi)验n取(qu)4。
2.2 铣削(xue)合力(li)F
采(cai)用极(ji)差(cha)分(fen)析(xi)法(fa)处理(li)数(shu)据(ju),来判断(duan)铣(xi)削参(can)数对(dui)铣削(xue)合(he)力F的影(ying)响(xiang)程(cheng)度。表(biao)4为(wei)合(he)力F的极(ji)差分(fen)析(xi)结果,图2为各铣(xi)削参数(shu)对(dui)F的影响(xiang)。根据(ju)结果(guo)分析(xi)可(ke)知,铣削速(su)度vc对铣削合(he)力(li)F的影(ying)响(xiang)呈(cheng)负(fu)相关,每齿进给(gei)量fz、铣削(xue)深度(du)ap和铣(xi)削宽(kuan)度ae对铣削合力(li)F的影响(xiang)呈正(zheng)相(xiang)关(guan),影响程(cheng)度大小依(yi)次为铣(xi)削深(shen)度(du)ap、每齿(chi)进给量(liang)fz、铣(xi)削宽度(du)ae、铣削(xue)速度vc。

2.3 材料去除(chu)率(lv)MRR

同(tong)样(yang)采用极(ji)差分(fen)析(xi)法(fa)进行数(shu)据(ju)处理,来(lai)判(pan)断(duan)铣(xi)削(xue)参数对(dui)材料去除率MRR的(de)影(ying)响程度。表5为(wei)材料(liao)去(qu)除(chu)率(lv)MRR的极差分(fen)析(xi)结(jie)果,图(tu)3为(wei)各(ge)铣(xi)削(xue)参(can)数(shu)对材料(liao)去除(chu)率MRR的(de)影(ying)响。

根据结果(guo)分析可知,材(cai)料去(qu)除(chu)率(lv)MRR随着(zhe)每(mei)齿(chi)进给量(liang)fz、铣(xi)削深度(du)ap和铣(xi)削(xue)宽(kuan)度ae的增(zeng)大而(er)增(zeng)大(da);对于铣削(xue)速(su)度(du)vc,材料去除(chu)率MRR先随(sui)其(qi)增大(da)而(er)减小,后(hou)随(sui)其(qi)增(zeng)大而增大。铣削(xue)参(can)数(shu)对材(cai)料(liao)去(qu)除率MRR的影(ying)响(xiang)程(cheng)度大(da)小(xiao)依(yi)次为铣削(xue)宽度(du)ae、铣削深(shen)度ap、每(mei)齿(chi)进(jin)给(gei)量fz、铣削速度(du)vc。
3、铣削参(can)数(shu)优(you)化
3.1 基于灰色(se)关(guan)联分(fen)析(xi)的(de)参(can)数优(you)化(hua)
3.1.1 灰(hui)色关(guan)联分(fen)析(GRA) 本(ben)文以合(he)力(li)F和(he)材料(liao)去(qu)除率(lv)MRR为(wei)响(xiang)应量进(jin)行(xing)优(you)化(hua)研(yan)究(jiu),属于多(duo)目(mu)标优(you)化问题。为(wei)了解(jie)决多目(mu)标优(you)化的复(fu)杂性问(wen)题,利用(yong)灰色(se)关联(lian)分析(xi)(GRA)的(de)方法,将多目标(biao)优化转(zhuan)化为(wei)单(dan)目标优(you)化[14-17]。如(ru)图4所示,灰(hui)色(se)关联(lian)分(fen)析的步骤如下(xia):步(bu)骤1:计算信噪比信(xin)噪比(S/N)是获得最佳因子水平最(zui)合(he)适(shi)的(de)方(fang)法(fa)。假设ηij为第i次(ci)实(shi)验(yan)第(di)j个响(xiang)应(ying)的(de)信(xin)噪(zao)比;
yijk为第(di)i次(ci)实验第(di)j个(ge)响应(ying)在(zai)第(di)k次重(zhong)复(fu)实(shi)验下的(de)实验(yan)数值(zhi);n为重(zhong)复实验的次(ci)数,则信(xin)噪比(bi)的计算公(gong)式如(ru)下(xia)所(suo)示:

式(3)适(shi)用(yong)于“越(yue)小越(yue)好(hao)”的(de)响(xiang)应,而(er)式(4)适(shi)用于“越(yue)大越好”的响应。对于(yu)铣(xi)削力(li)而(er)言,铣(xi)削力(li)越(yue)小越好(hao),故选(xuan)用(yong)“越(yue)小(xiao)越好”响应,即式(shi)(3);另(ling)一方(fang)面(mian),针对(dui)材(cai)料去除(chu)率,材(cai)料(liao)去除(chu)率(lv)越(yue)高(gao),性(xing)能越好,于(yu)是选(xuan)择(ze)式(shi)(4)。步骤(zhou)2:数据归(gui)一化对每个(ge)响(xiang)应的实(shi)验(yan)数(shu)据(ju)进(jin)行归(gui)一化(hua)处理,使(shi)其(qi)介于0和1之(zhi)间,以降低(di)可(ke)变(bian)性,此(ci)过(guo)程(cheng)也(ye)称(cheng)为(wei)灰(hui)色关联(lian)生成。
式中:

x*i(k)为归(gui)一(yi)化数(shu)值,x0i(k)为(wei)原始的实验(yan)数据;maxx0i(k)为第i个数列中(zhong)所(suo)有(you)实验(yan)的最高(gao)水(shui)平(ping);minx0i(k)为第i个数列中(zhong)所有实验(yan)的最(zui)低(di)水平。对(dui)于铣(xi)削(xue)力选用式(shi)(6),即“越小越(yue)好(hao)”响(xiang)应;对(dui)于(yu)材(cai)料去(qu)除率选用(yong)式(shi)(5),即(ji)“越(yue)大越(yue)好”响应。步骤(zhou)3:计算灰色(se)关联系数(shu)(GRC)将数据(ju)归一化后(hou),计算灰色关(guan)联系(xi)数(shu):
式中:

γi(k)为灰(hui)色(se)关联(lian)系(xi)数;ζ为(wei)分(fen)辨系(xi)数(shu),其(qi)作用在(zai)于提高关联(lian)系数之(zhi)间的差异(yi)显著(zhu)性(xing),ζ∈[0,1],通常(chang)ζ取0.5;Δ0i(k)为(wei)参(can)考(kao)序(xu)列(lie)(x*0(k)=1)和(he)比(bi)较序列(lie)(x*
i(k))的差(cha)值(zhi),信(xin)噪(zao)比、归一化(hua)、GRC的数据(ju)处(chu)理结(jie)果如表6所(suo)示(shi)。步(bu)骤4:计算加(jia)权灰(hui)色(se)关联(lian)度(du)(WGRG) 通过(guo)取每个性能特(te)征(zheng)的灰色关(guan)联系(xi)数的(de)平均值(zhi)来计算灰色(se)关(guan)联度(GRG),数学(xue)表达式(shi)如(ru)下(xia):

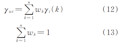
式中:γi为第i次实(shi)验(yan)的灰(hui)色关(guan)联(lian)度(du);n为(wei)响(xiang)应(ying)量的(de)数(shu)量(liang)。在(zai)实际(ji)的工程应用中(zhong),每(mei)个(ge)响应(ying)的(de)重要性(xing)是不(bu)同的(de)。为(wei)了(le)研(yan)究(jiu)每个(ge)响应(ying)的(de)影响(xiang),需对(dui)其(qi)分配权重(zhong)因子。则加权(quan)灰(hui)色(se)关联(lian)度(du)(WGRG)数学(xue)表(biao)达(da)式如(ru)式(12)所(suo)示:

式(shi)中:γwi为加(jia)权(quan)灰(hui)色(se)关(guan)联(lian)度(du);wk为(wei)每个(ge)响(xiang)应(ying)量的权(quan)重因子(zi)。

式(shi)中(zhong):Rij为(wei)灰(hui)色(se)关联系(xi)数极差;n、m分(fen)别(bie)为(wei)响应量(liang)数目(mu)、铣(xi)削参数(shu)数目。在(zai)本研(yan)究(jiu)中(zhong),根(gen)据(ju)实验(yan)设(she)计(ji),n、m分别(bie)取2、4。

表(biao)7为各个水平灰色关(guan)联系数的均(jun)值。根据(ju)所得到(dao)的权(quan)重(zhong)系数(shu),可(ke)得(de)加(jia)权(quan)灰(hui)色关联(lian)度公(gong)式(shi)如(ru)下:

式(shi)中(zhong):WGRG为加(jia)权(quan)灰色(se)关(guan)联(lian)度;GRCF和(he)GRCMRR分(fen)别(bie)为铣削(xue)力(li)和材料去(qu)除率的(de)灰(hui)色(se)关(guan)联(lian)系数。响应的加权(quan)灰色关(guan)联(lian)度值如表8所示,根据(ju)加权灰色关(guan)联度可(ke)知,第4组铣削(xue)参数最好。


3.1.2 基于(yu)GRA参(can)数优(you)化

通过(guo)上(shang)述4个(ge)步(bu)骤(zhou),将(jiang)多目(mu)标问题(ti)转化(hua)为(wei)单(dan)目(mu)标(biao)问(wen)题(ti)。通过极差法衡量(liang)加权(quan)灰(hui)色关(guan)联度(du)值,确(que)定最佳(jia)切(qie)削(xue)参数水(shui)平,如(ru)表(biao)9、图5所(suo)示(shi)。

从表9、图(tu)5可知,对铣(xi)削(xue)力和(he)材(cai)料去(qu)除率的组(zu)合(he)影(ying)响(xiang)大(da)小依(yi)次(ci)是铣(xi)削(xue)深(shen)度(du)ap、每齿(chi)进给(gei)量fz、铣削(xue)宽度ae、铣(xi)削速度(du)vc。WGRG随着(zhe)每(mei)齿进给(gei)量(liang)fz、铣(xi)削深(shen)度(du)ap和铣削(xue)宽度ae的(de)增(zeng)大而增(zeng)大;对于铣削速度vc,先随其增(zeng)大(da)而减(jian)小(xiao),后(hou)随其增大而增大。于(yu)是根(gen)据正交(jiao)实(shi)验(yan)和灰色(se)关(guan)联度,可得到该实验(yan)的(de)最(zui)优解,最(zui)优解结(jie)果为(wei)A1B4C4D4,即vc=60mmin、fz=0.04mmz、ap=10mm、ae=1mm,恰好是(shi)第4组实(shi)验,其WGRG为1。
3.2 基于(yu)粒(li)子群优化(PSO)算法的(de)参(can)数优(you)化(hua)
3.2.1 建(jian)立铣削力预(yu)测(ce)模型 为(wei)研究(jiu)智(zhi)能(neng)算(suan)法(fa)参数(shu)优化问(wen)题,首先(xian)需建立(li)铣削(xue)力(li)与(yu)铣削(xue)参(can)数(shu)之间的关(guan)系的(de)数(shu)学模(mo)型(xing)。采用(yong)逐(zhu)步(bu)回归方(fang)法(fa)建立(li)二(er)阶多项式数(shu)学(xue)模型(xing)[6],数学表达(da)式(shi)如(ru)式(shi)(16)所(suo)示(shi):

式(shi)中:ŷ为(wei)铣(xi)削(xue)力(li)的(de)预(yu)测值(zhi);β为数学模(mo)型的系(xi)数;第(di)二(er)项(xiang)为线性效(xiao)应;第(di)三(san)项表示交(jiao)互(hu)性效(xiao)应;最(zui)后一(yi)项表(biao)示二次效(xiao)应(ying)。利(li)用(yong)Python对(dui)实(shi)验数据(ju)进行(xing)回(hui)归(gui)分析,得到铣(xi)削(xue)力(li)与(yu)铣(xi)削(xue)参(can)数之(zhi)间(jian)的(de)关系(xi)的(de)数(shu)学(xue)模型(xing),如(ru)式(17)所(suo)示(shi):

建(jian)模(mo)完成(cheng)后(hou),运(yun)用(yong)IBMSPSSStatistics软件对(dui)其(qi)进(jin)行(xing)F检(jian)验(yan)。铣(xi)削力的(de)预测(ce)值(zhi)与(yu)实(shi)验(yan)值对比如图(tu)6所示(shi),从(cong)图6中可以(yi)看(kan)出(chu),铣(xi)削(xue)力的(de)预测值与实(shi)验(yan)值非(fei)常接近,并(bing)且平均(jun)误(wu)差(cha)为3.75%,最大(da)误差(cha)为10.2%,表(biao)明预(yu)测值与(yu)实(shi)验(yan)值之(zhi)间(jian)无显(xian)著(zhu)差异。铣(xi)削力(li)F预(yu)测(ce)模型(xing)的(de)方差分析(ANO‐VA)结(jie)果(guo)如(ru)表10所(suo)示(shi),取(qu)α=0.05,查(cha)表(biao)可(ke)知,临(lin)界值(zhi)Fα(13,2)=19.419,表10中(zhong)F远大于临界(jie)值19.419,说(shuo)明回(hui)归(gui)方程(cheng)显(xian)著。图(tu)7为(wei)回(hui)归标(biao)准化残(can)差(cha)的正(zheng)态P-P图(tu),从(cong)图可以看(kan)出(chu),实(shi)验(yan)点围绕45°直(zhi)线(xian)均匀随(sui)机分(fen)布,无异(yi)常点(dian)出现,说(shuo)明(ming)预(yu)测模(mo)型良(liang)好(hao)。因此,该(gai)回归(gui)数学模型可(ke)以(yi)作(zuo)为(wei)铣(xi)削(xue)力(li)的预(yu)测(ce)模型。



3.2.2 基(ji)于PSO参数(shu)优化
根据前(qian)文理(li)论(lun)分析(xi),要使优化目标达(da)到(dao)最优,即(ji)铣(xi)削力最小和材料(liao)去除(chu)率最高(gao),需(xu)建(jian)立一个(ge)优化(hua)模(mo)型(xing),如式(shi)(18)所(suo)示(shi):

利用(yong)线(xian)性(xing)加权(quan)方(fang)法,将(jiang)多(duo)目(mu)标优(you)化转(zhuan)为单目标(biao)优化,使(shi)铣削力(li)及(ji)材(cai)料去除率(lv)均可达(da)到相(xiang)对(dui)最(zui)优(you)的(de)参数(shu)组合(he)。设ω1、ω2为加(jia)权(quan)因子,且(qie)ω1+ω2=1,本文(wen)ω1、ω2分别(bie)取0.47和(he)0.53,优(you)化模型(xing)如(ru)式(19)所(suo)示(shi):

通(tong)过(guo)Python编写(xie)PSO算法(fa)程序(见图8)对(dui)优化模(mo)型进行(xing)优化(hua),得到最优(you)解gBest=-5331.2516,且此(ci)时(shi)最优参(can)数(shu)组合为vc=120mmin、fz=0.04mmz、ap=10mm、ae=1mm。

4、实(shi)验(yan)验(yan)证(zheng)
为对铣削(xue)力预测(ce)模(mo)型(xing)准确性及两(liang)种(zhong)参(can)数优化(hua)方(fang)法有效(xiao)性进行(xing)评(ping)估,需(xu)展开(kai)实(shi)验(yan)验(yan)证。基(ji)于GRA进行(xing)优化(hua)时(shi),得(de)到的最优(you)参(can)数(shu)组(zu)合(he)为vc=60mmin、fz=0.04mmz、ap=10mm、ae=1mm,经实验验(yan)证可知(zhi),铣(xi)削力(li)F实(shi)验值(zhi)为196.573N,材料去除率MRR为(wei)5092.96mm3min,而(er)此(ci)时的(de)铣(xi)削力(li)F预(yu)测值(zhi)为(wei)196.636N,预测值(zhi)与实(shi)验值之(zhi)间的相(xiang)对(dui)误(wu)差为0.3%。当(dang)采用PSO进(jin)行(xing)参数(shu)优化(hua)时,最(zui)优参(can)数组合(he)为(wei)vc=120mmin、fz=0.04mmz、ap=10mm、ae=1mm,此(ci)时(shi)铣(xi)削(xue)力(li)实验值(zhi)F=147.121N,材(cai)料去(qu)除(chu)率MRR=10185.92mm3min,铣削(xue)力(li)的预(yu)测(ce)值(zhi)F=148.984N,相(xiang)对误差(cha)为1.3%。验证(zheng)实(shi)验的预(yu)测(ce)值(zhi)与(yu)实(shi)验(yan)值(zhi)之(zhi)间的(de)相对(dui)误(wu)差均低(di)于2%,说(shuo)明预(yu)测(ce)模(mo)型比较准确(que)与(yu)实(shi)用(yong)。
在实验(yan)验(yan)证的(de)基础上,可以(yi)看(kan)出(chu),基(ji)于PSO进(jin)行优化(hua)得(de)到(dao)的铣削力(li)更小(xiao),材(cai)料去除率更(geng)大(da),因(yin)此,与(yu)GRA优化相比(bi),PSO优化(hua)效果(guo)更(geng)好。
5、结(jie)论
(1)采用(yong)正交(jiao)实(shi)验(yan)方法(fa)设(she)计(ji)钛(tai)合(he)金(jin)TC4薄壁(bi)件(jian)铣削(xue)实验(yan),通过(guo)极(ji)差(cha)分析得(de)知(zhi)铣削(xue)速度vc对铣(xi)削合(he)力(li)F的(de)影(ying)响呈负相关,每(mei)齿(chi)进(jin)给(gei)量fz、铣(xi)削深(shen)度ap和(he)铣削(xue)宽(kuan)度(du)ae对(dui)F的影响(xiang)均呈(cheng)正(zheng)相(xiang)关(guan),且(qie)铣(xi)削(xue)参(can)数(shu)对F影(ying)响的显(xian)著性(xing)由大(da)到(dao)小(xiao)的(de)顺(shun)序为:铣(xi)削(xue)深(shen)度ap>每(mei)齿(chi)进给量(liang)fz>铣(xi)削宽度ae>铣(xi)削(xue)速(su)度(du)vc。
(2)通过极(ji)差分(fen)析(xi),得(de)出每齿(chi)进(jin)给量fz、铣削(xue)深度(du)ap和铣(xi)削宽度(du)ae对材料去除率MRR的(de)影响均(jun)呈(cheng)正(zheng)相(xiang)关(guan);对(dui)于(yu)铣削速度(du)vc,材料(liao)去(qu)除(chu)率(lv)MRR先随其增(zeng)大(da)而(er)减小,后随(sui)其增(zeng)大(da)而增大(da)。铣(xi)削(xue)参(can)数(shu)对材(cai)料(liao)去除(chu)率MRR影(ying)响的(de)显著性(xing)由(you)大到小的(de)顺(shun)序为铣削(xue)宽(kuan)度ae>铣(xi)削(xue)深度ap>每(mei)齿进(jin)给(gei)量fz>铣削速度vc。
(3)利用Python对实(shi)验(yan)数(shu)据(ju)进行(xing)回(hui)归分析,得到铣(xi)削(xue)力与(yu)铣(xi)削参(can)数之(zhi)间(jian)的关(guan)系的(de)数(shu)学模(mo)型(xing),ANOVA分析结果(guo)表明,F=178.721远大(da)于(yu)临界(jie)值(zhi)Fα(13,2)=19.419,并且(qie)平(ping)均误差为3.75%,最大误(wu)差(cha)低于11%,说明铣削力(li)预测模型显(xian)著(zhu)。
(4)采(cai)用(yong)灰(hui)色(se)关联分(fen)析(xi)法与(yu)粒(li)子群优化算(suan)法分别进行铣削(xue)参(can)数(shu)优化(hua),相(xiang)比之(zhi)下(xia),粒(li)子(zi)群优化(hua)算(suan)法得(de)到的(de)参(can)数组合vc=120mmin、fz=0.04mmz、ap=10mm、ae=1mm,其铣(xi)削(xue)力(li)更(geng)小、材(cai)料(liao)去(qu)除(chu)率(lv)更大,因(yin)此,粒(li)子(zi)群算(suan)法(fa)优化(hua)效(xiao)果更(geng)好(hao)。
参(can)考(kao)文献(xian):
[1] Tan Liang, Yao Chang-feng, Ren Jun-xue, et al. Ef‐ fect of cutter path orientations on cutting forces, tool wear, and surface integrity when ball end milling TC17 [J]. The International Journal of Advanced Manufactur‐ ing Technology, 2017, 88(9-12): 2589-2602.
[2] 张翔宇, 路正惠, 彭(peng)振龙(long), 等 . 钛合(he)金的高(gao)质高效(xiao)超(chao)声(sheng) 振动(dong)切(qie)削(xue)加(jia)工[J]. 机械(xie)工程(cheng)学报(bao), 2021, 57(5): 133-147. Zhang Xiang-yu, Lu Zheng-hui, Peng Zhen-long, et al. High quality and efficient ultrasonic vibration cut‐ ting of titanium alloys[J]. Journal of Mechanical Engi‐ neering, 2021, 57(5): 133-147.
[3] Li J, Yang X, Ren C, et al. Multiobjective optimiza‐ tion of cutting parameters in Ti-6Al-4V milling pro‐ cess using nondominated sorting genetic algorithm-II [J]. The International Journal of Advanced Manufac‐ turing Technology, 2015, 76: 941-953.
[4] Serra R, Chibane H, Duchosal A. Multi-objective optimization of cutting parameters for turning AISI 52100 hardened steel[J]. International Journal of Ad‐ vanced Manufacturing Technology, 2018, 99(5-8): 2025-2034.
[5] Zhu Li-da, Yang Zhi-chao, Li Zhao-bin. Investiga‐ tion of mechanics and machinability of titanium alloy thin-walled parts by CBN grinding head[J]. The In‐ ternational Journal of Advanced Manufacturing Tech‐ nology, 2019, 100(9-12): 2537-2555.
[6] Wu D, Wang H, Zhang K, et al. Research on forma‐ tion mechanism and optimization method of surface waviness of TC4 blisk blade[J]. Journal of Manufac‐ turing Processes, 2019, 39: 305-326.
[7] Shen X, Zhang D, Yao C, et al. Formation mecha‐ nism of surface metamorphic layer and influence rule on milling TC17 titanium alloy[J]. The International Journal of Advanced Manufacturing Technology, 2021, 112(7,8): 2259-2276.
[8] Ngoc Chien Vu, Shyh Chour Huang, Huu That Nguyen. Multi-objective optimization of surface rough‐ ness and cutting forces in hard milling using taguchi and response surface methodology[J]. Key Engineer‐ ing Materials, 2018, 773: 220-224.
[9] Karkalos N E, Galanis N I, Markopoulos A P. Sur‐ face roughness prediction for the milling of Ti6Al4V ELI alloy with the use of statistical and soft computing techniques[J]. Measurement, 2016, 90: 25-35.
[10] 易茜(qian), 李聪波, 潘(pan)建, 等(deng) . 薄板(ban)类(lei)零(ling)件(jian)加工精(jing)度(du)可(ke)靠(kao) 性(xing) 分 析 及(ji) 工 艺 参 数 优 化[J]. 中 国 机 械(xie) 工(gong) 程, 2022, 33(11): 1269-1277.
Yi Qian, Li Cong-bo, Pan Jian, et al. Reliability analysis of machining accuracy and processing parame‐ ter optimization for thin-plate parts[J]. China Mechan‐ ical Engineering, 2022, 33(11): 1269-1277.
[11] Monir K O, Samy E A A. Optimization of cutting conditions using regression and genetic algorithm in end milling[J]. International Journal of Engineering Research in Africa, 2016, 20: 12-18.
[12] Venkatesh M, Suresh K R N. Optimization of mill‐ ing operations using artificial neural networks (ANN) and simulated annealing algorithm (SAA) [J]. Materi‐ als Today: Proceedings, 2018, 5(2): 4971-4985.
[13] Djordje V, Katica S, Zeljko K, et al. Multi-objec‐ tive optimization of steel AISI 1040 dry turning using genetic algorithm[J]. Neural Computing & Applica‐ tions, 2021, 33(19): 12445-12475.
[14] Eskandari B, Davoodi B, Ghorbani H. Multi-objec‐ tive optimization of parameters in turning of N-155 iron-nickel-base superalloy using gray relational anal‐ ysis[J]. Journal of the Brazilian Society of Mechanical Sciences and Engineering, 2018, 40(4): No. 233.
[15] Maiyar L M, Ramanujam R, Venkatesan K, et al. Optimization of machining parameters for end milling of inconel 718 super alloy using taguchi based grey re‐ lational analysis[J]. Procedia Engineering, 2013, 64: 1276-1282. [16] Ic Y T, Yildirim S. MOORA-based taguchi optimis‐ ation for improving product or process quality[J]. In‐ ternational Journal of Production Research, 2013, 51 (11): 3321-3341.
[17] 魏子(zi)茹(ru), 卢延(yan)辉, 王(wang)鹏(peng)宇(yu), 等(deng) . 基于(yu) CRITIC 法的(de)灰 色关联(lian)理(li)论在无(wu)人(ren)驾(jia)驶(shi)车辆(liang)测(ce)试(shi)评(ping)价中的应用(yong)[J].机(ji)械(xie)工程学报, 2021, 57(12): 99-108.
Wei Zi-ru, Lu Yan-hui, Wang Peng-yu, et al. Ap‐ plication of grey correlation theory based on CRITIC method in autonomous vehicles test and evaluation [J]. Journal of Mechanical Engineering, 2021, 57(12): 99-108.
[18] 曾念寅(yin), 宋丹丹(dan), 李寒(han), 等 . 改进鲸(jing)鱼优(you)化算(suan)法及涡(wo)轮(lun) 盘结(jie)构(gou)优化(hua)[J]. 机(ji)械工程学报(bao), 2021, 57(20): 254-265.
Zeng Nian-yin, Song Dan-dan, Li Han, et al. Im‐ proved whale optimization algorithm and turbine disk structure optimization[J]. Journal of Mechanical Engi‐ neering, 2021, 57(20): 254-265.
[19] 易茜, 柳(liu)淳(chun), 李(li)聪(cong)波(bo), 等 . 基(ji)于(yu)小样本(ben)数据(ju)驱动的(de)滚 齿 工 艺 参 数 低 碳(tan) 优 化 决(jue) 策 方 法[J]. 中 国 机 械 工(gong) 程(cheng), 2022, 33(13): 1604-1612.
Yi Qian, Liu Chun, Li Cong-bo, et al. A low carbon optimization decision method for gear hobbing process parameters driven by small sample data[J]. China Me‐ chanical Engineering, 2022, 33(13): 1604-1612.
[20] 卫(wei)星驰(chi), 赵(zhao)嫚(man), 杨(yang)青平(ping), 等(deng) . 考虑工(gong)件变(bian)形的(de)五轴侧(ce) 铣(xi) 薄 壁(bi) 件(jian) 铣(xi) 削(xue) 力 建(jian) 模 [J]. 机 械 工(gong) 程 学(xue) 报(bao) , 2022, 58(7): 317-324. Wei Xing-chi, Zhao Man, Yang Qing-ping, et al. Milling force modeling of thin-walled parts with 5-Axis flank milling considering workpiece deformation [J]. Journal of Mechanical Engineering, 2022, 58(7): 317-324.
[21] 于(yu)繁(fan)华(hua), 刘(liu)仁(ren)云(yun), 张义民, 等 . 机械(xie)零部(bu)件动(dong)态(tai)可(ke)靠 性稳健优化设(she)计(ji)的(de)群智能(neng)算法[J]. 吉林大学学(xue)报:工 学版, 2017, 47(6): 1903-1908. Yu Fan-hua, Liu Ren-yun, Zhang Yi-min, et al. Swarm intelligence algorithm of dynamic reliabilitybased robust optimization design of mechanic compo‐ nents[J]. Journal of Jilin University(Engineering and Technology Edition), 2017, 47(6): 1903-1908.
[22] 张禹, 鹿(lu)浩, 吕董, 等 . 基于 IMOFA 的(de)航(hang)空(kong)发(fa)动机 管 路(lu) 多(duo) 目(mu) 标 优(you) 化(hua) 布(bu) 局[J]. 东(dong) 北 大 学 学(xue) 报(bao):自 然 科(ke) 学 版, 2022, 43(8): 1120-1126. Zhang Yu, Lu Hao, Lyu Dong, et al. Multi-objec‐ tive optimization layout of aero-engine pipe routing based on IMOFA[J]. Journal of Northeastern Univer‐ sity(Natural Science), 2022, 43(8): 1120-1126.
[23] 陈 昭 明(ming),邹(zou) 劲 松(song),王(wang) 伟(wei),等(deng) . 改 进(jin) 粒(li) 子(zi) 群 神(shen) 经 网 络 融(rong) 合(he)有(you)限元(yuan)分析(xi)的铸锻(duan)双控(kong)动态(tai)成(cheng)型多(duo)目标优(you)化(hua)[J].吉(ji)林(lin)大学学(xue)报(bao):工学版, 2022, 52(7): 1524-1533.
Chen Zhao-ming, Zou Jin-song, Wang Wei, et al. Multi-objective optimization of casting-forging dy‐ namic forming based on improved particle swarm neu‐ ral network and finite element analysis[J]. Journal of Jilin University(Engineering and Technology Edi‐ tion), 2022, 52(7): 1524-1533.


kzjsbc.com
凯泽金属手机网